CAS Index

StructureChemical NameCASMF
5-CHLORO-2,3-DIBROMO-1-FLUOROBENZENE 208186-78-1 C6H2Br2ClF
2-CHLORO-4-FLUOROBENZYL ALCOHOL 208186-84-9 C7H6ClFO
Posaconazole Impurity 63 208187-15-9 C20H26F2O4
4-(tert-Butyl)-N-methoxy-N-methylbenzamide 208188-23-2 C13H19NO2
3-Pyrid-4-ylbenzaldehyde 208190-04-9 C12H9NO
2-(Methylsulphonyl)-4-nitrophenol 208191-64-4 C7H7NO5S
2,2-Dihydroxyacetic acid (R)-(-)-menthyl ester 208192-14-7 C12H22O4
5'-O-(4,4'-Dimethoxytrityl)-2'-deoxy-2'-fluoro-5-methyl-beta-D-arabinouridine-3'-CED-phosphoramidite 208193-48-0 C40H48FN4O8P
3-Chloro-2-fluoro-4-methoxybenzaldehyde 208193-49-1 C8H6ClFO2
ETHYL 2-(1,3-DIOXAN-2-YL)BENZOYLFORMATE 208196-15-0 C14H16O5
NK314 208237-49-4 C22H18ClNO4
(R)-5-amino-4-methylpentan-1-ol 208242-15-3 C6H15NO
(1-BUTYL-2,4-CYCLOPENTADIEN-1-YL)TRIMETHYLSILANE 208242-21-1 C12H22Si
1-TRIFLUOROMETHYLCYCLOPROPANE-1-CARBOXYLIC ACID METHYL ESTER 208242-25-5 C6H7F3O2
1,2-Dithiolane-4-carboxylic acid, 4-methyl- 208243-72-5 C5H8O2S2
1,2-Dithiolane-4-carboxamide,4-methyl-(9CI) 208243-73-6 C5H9NOS2
Piperidine, 4-cyclopropyl- (9CI) 208245-59-4 C8H15N
4-cyclopropyl piperidine hydrochloride 208245-61-8 C8H16ClN
tert-butyl 4-(difluoroMethylene)piperidine-1-carboxylate 208245-65-2 C11H17F2NO2
4-(difluoromethylidene)piperidine hydrochloride 208245-66-3 C6H10ClF2N
tert-butyl 4-(methylthio)piperidine-1-carboxylate 208245-69-6 C11H21NO2S
4-Methylthiopiperidine hydrochloride 208245-70-9 C6H13NS.ClH
1(2H)-Pyridinecarboxylic acid, 3,6-dihydro-4-Methyl-, 1,1-diMethylethyl ester 208245-73-2 C11H19NO2
1,4-Diazepan-5-one hydrochloride 208245-76-5 C5H11ClN2O
Carbamic acid, 1-pyrrolidinyl-, 1,1-dimethylethyl ester (9CI) 208245-82-3 C9H18N2O2
4-nitro-4'-aminoazobenzene-2-sulfonic acid 208246-14-4 C12H10N4O5S
1,8-DIISOCYANOOCTANE 208247-82-9 C10H16N2
(R)-2,2'-Diamino-5,5',6,6',7,7',8,8'-octahydro-1,1'-binaphthyl 208248-66-2 C20H24N2
(R)-(+)-2,2'-BIS(N-DIPHENYLPHOSPHINOAMINO)-5,5',6,6',7,7',8,8'-OCTAHYDRO-1,1'-BINAPHTHYL 208248-67-3 C44H42N2P2
Hexarelin acetate 208251-52-9 C49H62N12O8
thiolane 1,1-dioxide 208252-54-4 C4H8O2S
(4-methoxy-6-methyl-1,3,5-triazin-2yl)urea 208252-67-9 C6H9N5O2
NOCISTATIN (BOVINE) 208253-85-4 C82H135N21O32
2,6-DiaMino-4-(2-fluorophenyl)-4H-thiopyran-3,5-dicarbonitrile 208254-22-2 C13H9FN4S
DAPM 208255-51-0 C20H20F2N2O4
DAPT 208255-80-5 C23H26F2N2O4
Zooxanthellabetaine A 208256-89-7 C14H19NO5
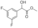
BENZENEACETIC ACID, 3,5-DIFLUORO-A-HYDROXY-, METHYL ESTER 208259-37-4 C9H8F2O3
(3,5-Difluorophenyl)-difluoroacetic acid 208259-48-7 C8H4F4O2
Ethyl-2,2-difluoro-2-(3,5-difluorophenyl)acetate 208259-49-8 C10H8F4O2
3-(4-iodophenyl)propan-1-amine 208259-51-2 C9H12IN
ETHYL 3,5-DIFLUOROBENZOYLFORMATE 208259-57-8 C10H8F2O3
Methyl 2-amino-3-(pyridin-3-yl)propanoate dihydrochloride 208259-58-9 C9H13ClN2O2
FMOC-(R)-2-THIENYLGLYCINE 208259-66-9 C21H17NO4S
2-(3,5-Difluorophenyl)-2-oxoacetic acid 208259-76-1 C8H4F2O3
ZM 336372 208260-29-1 C23H23N3O3
1H-Benzimidazole-2-methanol,4-methoxy-alpha-methyl-(9CI) 208261-86-3 C10H12N2O2
Ethanone, 1-(4-methoxy-1H-benzimidazol-2-yl)- (9CI) 208261-87-4 C10H10N2O2
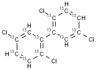
PCB 105-13C12 208263-62-1 C12H5Cl5
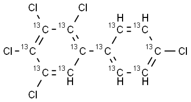
2,3,4,4',5-PENTACB (PCB-114) (13C12, 99%) 40+/-2 ug/ml in Nonane 208263-63-2 C12H5Cl5
2',3,4,4',5-PENTACB (PCB-123) (13C12, 99%) 40+/-2 ug/ml in Nonane 208263-64-3 C12H5Cl5
3,3',4,4',5-PENTACB (PCB-126) (13C12, 99%) 40+/-2 ug/ml in Nonane 208263-65-4 C12H5Cl5
PCB 138-13C12 208263-66-5 C12H4Cl6
4,4'-DICB (PCB-15) (13C12, 99%) 40+/-2 ug/Ml in Nonane 208263-67-6 C12H8Cl2
2,3,3',4,4',5-HEXACB (PCB-156) (13C12, 99%) 40+/-2 ug/ml in Nonane 208263-68-7 C12H4Cl6
2,3',4,4',5,5'-HEXACB (PCB-167) (13C12, 99%) 40+/-2 ug/ml in Nonane 208263-69-8 C12H4Cl6
3,3',4,4',5,5'-HEXACB (PCB-169) (13C12, 99%) 40+/-2 ug/ml in Nonane 208263-70-1 C12H4Cl6
1,1'-Biphenyl-1,1',2,2',3,3',4,4',5,5',6,6'-13C12, 2,2',3,4,4',5,5'-heptachloro- (9CI) 208263-72-3 C12H3Cl7
2,3,3',4,4',5,5'-HEPTACB (PCB-189) (13C12, 99%) 40+/-2 ug/ml in Nonane 208263-73-4 C12H3Cl7
2,2',3,3',4,4',5,5'-OCTACB (PCB-194) (13C12, 98%) 40+/-2 ug/ml in Nonane 208263-74-5 C12H2Cl8
2,2',3,3',4,4',5,5',6-NONACB (PCB-206) (13C12, 99%) 40+/-2 ug/ml in Nonane 208263-75-6 C12HCl9
PCB 28-13C12 208263-76-7 C12H7Cl3
13C12-4-CHLOROBIPHENYL 208263-77-8 C12H9Cl
3,4,4'-TRICB (PCB-37) (13C12, 99%) 40+/-2 ug/ml in Nonane 208263-79-0 C12H7Cl3
PCB 52-13C12 208263-80-3 C12H6Cl4
2,3',4',5-TETRACB (PCB-70) (13C12, 99%) 40+/-2 ug/ml in Nonane 208263-81-4 C12H6Cl4
2-acetyl-4-bromothiazole 208264-53-3 C5H4BrNOS
2,5-DIBROMO-THIAZOLE-4-CARBOXYLIC ACID ETHYL ESTER 208264-60-2 C6H5Br2NO2S
SUC-TYR-VAL-ALA-ASP-PNA 208264-84-0 C31H38N6O12
Pyridine, 3-(5H-tetrazol-5-yl)- (9CI) 208264-85-1 C6H5N5
Pyridine, 4-(5H-tetrazol-5-yl)- (9CI) 208264-86-2 C6H5N5
2-(Methylthio)-1-(4-pyridinyl)ethanone 208264-95-3 C8H9NOS
Alkyl(C=12-16) 2-methyl-2-propenoate polymer with 2-(4-morpholinyl) ethyl 2-methyl-2-propenoate and octadecyl 2-methyl-2-propenoate 208265-91-2
Granulocyte colony-stimulating factor precursor 208265-92-3 C18H24FN3O6S
(Cys0)-Amyloid Beta-Protein (1-40) 208266-35-7 C197H300N54O59S2
Alanine, N-6-benzothiazolyl- (9CI) 208331-30-0 C10H10N2O2S
Benzenemethanol, 3,4-diethoxy-alpha-methyl- (9CI) 208332-13-2 C12H18O3
2-Furancarboxylic acid, 5-[methyl(1-oxo-4-pentenyl)amino]-, methyl ester (9CI) 208334-95-6 C12H15NO4
5-BENZOYLAMINO-FURAN-2-CARBOXYLIC ACID METHYL ESTER 208335-10-8 C13H11NO4
2-Propynamide, 3-(2-thienyl)- (9CI) 208335-90-4 C7H5NOS
ETHYL 5-(BUT-3-ENYL)THIOPHENE-2-CARBOXYLATE 208337-82-0 C11H14O2S
ETHYL 5-[(3R)-3,4-DIHYDROXYBUTYL]THIOPHENE-2-CARBOXYLATE 208337-83-1 C11H16O4S
ETHYL 5-[(3R)-4-AMINO-3-HYDROXYBUTYL]THIOPHENE-2-CARBOXYLATE 208337-84-2 C11H17NO3S
(4R,5R)-4,5-BIS(MESYLOXYMETHYL)-1,3,2-DIOXATHIOLANE 2,2-DIOXIDE 208338-09-4 C6H12O10S3
(trans,trans)-5-{(4'-Ethyl[1,1'-bicyclohexyl]-4-yl)-difluormethoxy}-1,2,3-trifluorbenzene 208338-49-2 C21H27F5O
4-[difluoro(3,4,5-trifluorophenoxy)Methyl]-4'-propyl-1,1'-bi(cyclohexyl) 208338-50-5 C22H29F5O
4-[difluoro(3,4,5-trifluorophenoxy)Methyl]-4'-pentyl-1,1'-bi(cyclohexyl) 208338-52-7 C24H33F5O
5-[[2,6-Difluoro-4-(trans-4-propylcyclohexyl)phenyl]difluoromethoxy]-1,2,3-trifluorobenzene 208338-62-9 C22H21F7O
L-Alanine, N-2-benzothiazolyl- (9CI) 208339-58-6 C10H10N2O2S
4-Methoxy-2-MethylphenylboronicAcid 208339-66-0
2,4-Bis[2-hydroxy-4-butoxyphenyl]-6-(2,4-dibutoxyphenyl)-1,3,5-triazin 208343-47-9 C37H47N3O6
Butanamide, N-hydroxy-N-(1,1,2-trimethyl-2-propenyl)- (9CI) 208343-83-3 C10H19NO2
5-CHLORO-2-DODECYLOXY ANILINE 208345-70-4 C18H30ClNO
Ruthenium(III) iodide hydrate 208346-20-7 H2I3ORu
Ethyl 4-(rhamnosyloxy)benzylcarbamate 208346-80-9 C16H23NO7
3-((2,5-DIMETHOXYPHENYL)AMINO)-2-(2,2-DIMETHYLPROPANOYL)PROP-2-ENENITRILE 208348-00-9 C16H20N2O3
2(1H)-Isoquinolinecarboxaldehyde (9CI) 208348-23-6 C10H9NO
Cyclohexanecarboxaldehyde, 1-(1-hydroxyethyl)- (9CI) 208348-75-8 C9H16O2
1-(DIETHYLAMINOMETHYL)CYCLOPENTANECARBOXALDEHYDE 208349-33-1 C11H21NO
2-(3,4-DIMETHYLPHENYL)-1,3,2-DIOXABORINANE 208390-39-0 C11H15BO2
424 425 426 427 428 429 430 431 432 433 434 435 436 437 438 439 440 441 442 443 444 445 446 447 448 449 450 451 452 453 454 455 456 457 458 459 460 461 462 463 464 465 466 467 468 469 470 471 472 473 474 475 476 477 478 479 480 481 482 483 484 485 486 487 488 489 490 491 492 493 494 495 496 497 498 499 500 501 502 503 504 505 506 507 508 509 510 511 512 513 514 515 516 517 518 519 520 521 522 523 524 525 526 527 528 529 530 531 532 533 534 535 536 537 538 539 540 541 542 543 544 545 546 547 548 549 550 551 552 553 554 555 556 557 558 559 560 561 562 563 564 565 566 567 568 569 570 571 572 573 574 575 576 577 578 579 580 581 582 583 584

  • HomePage | Member Companies | Advertising | Contact us | Previous WebSite | MSDS | CAS Index | CAS DataBase | Privacy | Terms | About Us
  • All products displayed on this website are only for non-medical purposes such as industrial applications or scientific research, and cannot be used for clinical diagnosis or treatment of humans or animals. They are not medicinal or edible.
    According to relevant laws and regulations and the regulations of this website, units or individuals who purchase hazardous materials should obtain valid qualifications and qualification conditions.
  • Copyright © 2023 ChemicalBook All rights reserved.