1-11 比伐芦定 基本信息
| 中文名称 | 1-11 比伐芦定 |
|---|---|
| 中文同义词 | 1-11 比伐芦定;比伐芦定1-11 |
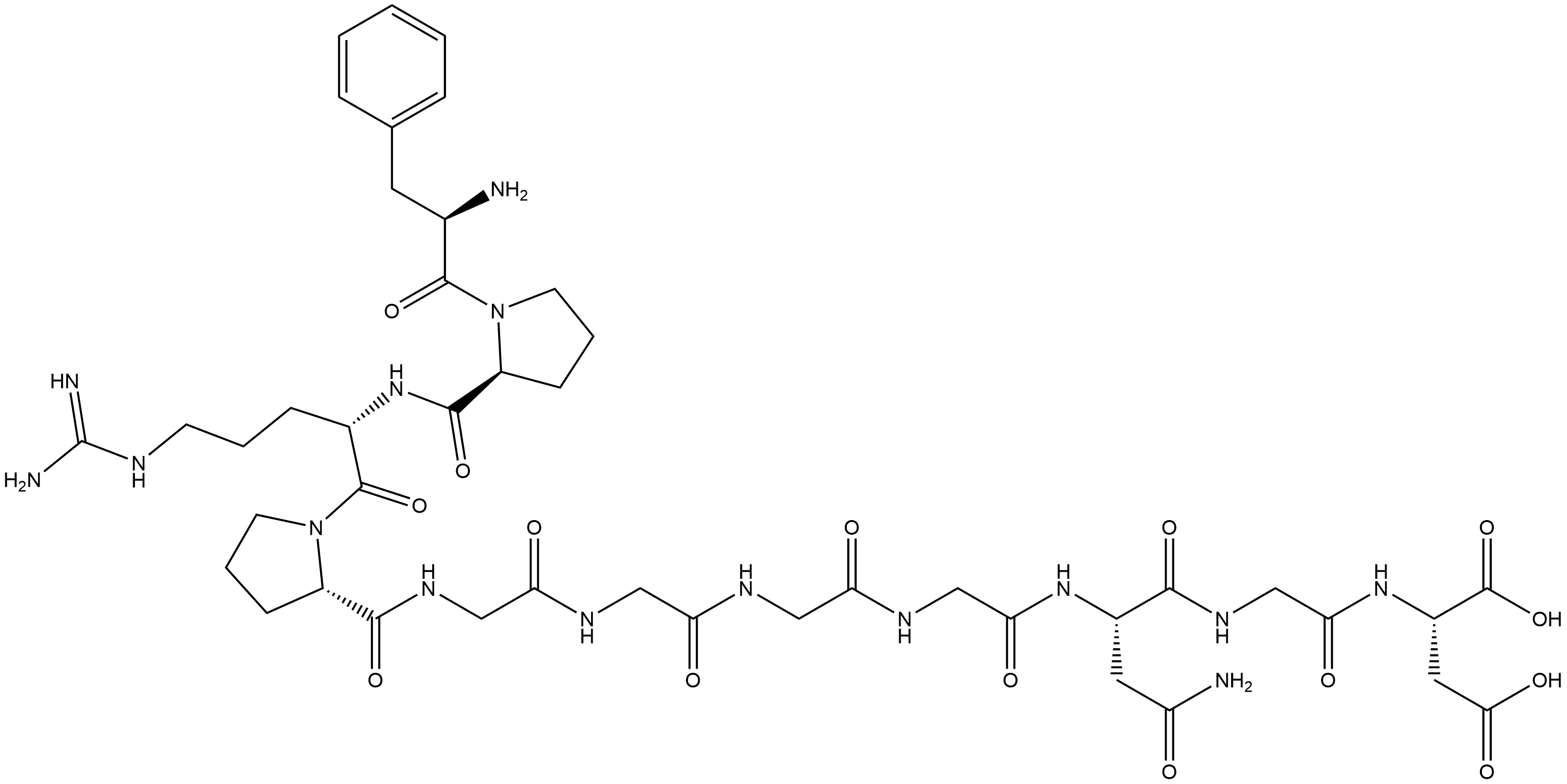
| 英文名称 | D-Phenylalanyl-L-prolyl-L-arginyl-L-prolylglycylglycylglycylglycyl-L-asparaginylglycyl-L-aspartic acid |
| 英文同义词 | D-Phenylalanyl-L-prolyl-L-arginyl-L-prolylglycylglycylglycylglycyl-L-asparaginylglycyl-L-aspartic acid;D-Phenylalanyl-L-prolyl-L-arginyl-L-prolylglycylglycylglycylglycyl-L-asparaginylglycyl-L-alpha-aspartic acid;1-11 Bivalirudin;{dPhe}PRPGGGGNGD |
| CAS号 | 1224964-33-3 |
| 分子式 | C43H63N15O15 |
| 分子量 | 1030.05 |
| EINECS号 | |
| 相关类别 | |
| Mol文件 | 1224964-33-3.mol |
| 结构式 | ![]() |
1-11 比伐芦定 性质
| 密度 | 1.59±0.1 g/cm3(Temp: 20 °C; Press: 760 Torr)(Predicted) |
|---|---|
| 酸度系数(pKa) | 2.87±0.10(Predicted) |
