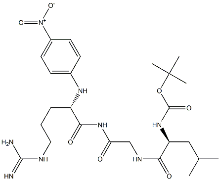
鲎试剂三肽是从鲎血细胞裂解物中提取或人工合成的具有特定序列的三肽物质。鲎试剂三肽是一种用于定量分析(例如细菌内毒素试验)的显色底物,用于检测和测量革兰氏阴性菌的组成成分——内毒素。当受到内毒素激活的酶的作用时,会释放出有色化合物(如对硝基苯胺),从而可以测量颜色强度并将其与内毒素的含量相关联。

内毒素激活:在内毒素存在的情况下,鲎血中的变形细胞会释放酶,从而激活凝血级联反应。
酶的作用:活化的酶(通常是凝血酶)随后作用于显色底物。
显色反应:酶裂解底物,释放出一种称为对硝基苯胺(pNA )的黄色化合物。
定量分析:黄色的强度与样品中内毒素的含量成正比,通常使用分光光度计在 405 nm 的吸光度下进行测量。

制备方法
鲎试剂三肽在制备方式上可以通过两种途径获取。
1.从鲎血细胞中提取天然成分,经分离纯化得到具有活性的三肽。
2.通过固相合成技术,按照特定氨基酸序列逐步连接,精确控制三肽的结构。
因为鲎资源的保护政策(浙江、福建、广东和广西等省已将其列为“ 省级重点保护水生野生动物”/香港于2012年底颁布法规禁止底拖捕捞作业),且提取过程复杂,难度较大,第一种方法的成本也会相对较高。所以现在普遍采用固相合成,按照特定氨基酸序列逐步连接,能够精确控制三肽的结构,该方法不仅能保证产品的稳定性和一致性,还可大规模生产,满足制药行业对检测试剂的需求。
订购联系方式:
手机: +86-15397062932 (同微信号)/+86-18157160918(同微信号)
邮箱:sales1@gotopbio.com
写到最后:
杭州固拓生物科技有限公司定制多肽合成业务:药物肽、临床肽、订书肽、淀粉肽、醛肽、环肽、二硫键搭桥多肽、穿膜肽、各种抗菌肽、美容肽、磷酸化肽、PEG肽、偶联BSA和KLH抗原肽、各类酸修饰多肽、各种胺类化合物修饰多肽(苯胺、异戊胺、二乙胺)、各类荣光标记(FITC、FAM系列、DOTA、TAMRA系列、CY系列)同位素肽等。固拓生物所有产品仅限科研使用,不得用于人体,如有违反,后果自负。
本公司的所有产品仅用于科学研究或者工业应用等非医疗目的,不可用 于人类或动物的临床诊断或治疗,非药用,非食用。