环辛二烯-氮杂环卡宾铱催化剂(通常简写为[IrCl (cod)(NHC)]类配合物,cod = 1,5-环辛二烯,NHC = 氮杂环卡宾)是一类兼具高活性、高选择性与结构可调性的贵金属催化剂。其核心优势源于cod配体的稳定作用与NHC配体的电子/空间效应调控能力。2008年Nolan和Marciniec团队分别报道该类配合物的合成与表征[1-2]。该类催化剂已逐步成为有机合成、生物质转化、药物研发等领域的关键工具。以下为其部分应用实例:
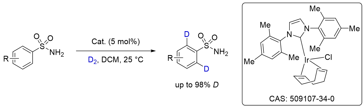
环辛二烯-氮杂环卡宾铱催化剂(CAS: 509107-34-0)可在室温条件下实现伯磺酰胺的邻位氘代,氘代率最高达97%[3]。

环辛二烯-氮杂环卡宾铱复合物(CAS: 509107-34-0)作为高效催化剂,可通过一锅法实现末端环氧化物与伯醇的选择性开环/烷基化反应,合成系列α-烷基化酮[4]。

环辛二烯-氮杂环卡宾铱催化剂(CAS: 509107-34-0)可高效催化硫醇的有氧氧化偶联反应生成二硫化物[5]。该反应以空气(氧气)为绿色氧化剂,多种芳香族、脂肪族硫醇及硫酯底物均可转化为相应的二硫化物,产率达90%-99%。

助力科研突破,安徽凯泰莱铂再添新力!环辛二烯-氮杂环卡宾铱催化剂已正式上架,支持定制合成服务,竭诚欢迎各界垂询合作!

参考文献
1. R. A. Kelly III, H. Clavier, S. Giudice, N. M. Scott, E. D. Stevens, J. Bordner, I. Samardjiev, C. D. Hoff, L. Cavallo, S. P. Nolan, Determination of N-Heterocyclic Carbene (NHC) Steric and Electronic Parameters using the [(NHC)Ir(CO)2Cl] System. Organometallics 2008, 27, 202.
2. I. Kownacki, M. Kubicki, K. Szubert, B. Marciniec, Synthesis, structure and catalytic activity of the first iridium(I) siloxide versus chloride complexes with 1,3-mesitylimidazolin-2-ylidene ligand. J. Organomet. Chem. 2008, 693, 321.
3. W. J. Kerr, M. Reid, Tell Tuttle, Iridium-Catalyzed C−H Activation and Deuteration of Primary Sulfonamides: An Experimental and Computational Study. ACS Catal. 2015, 5, 402.
4. S. Genc,̧ S. Gülcemal, S. Günnaz, B. Çetinkaya, D. Gülcemal, Synthesis of α‑Alkylated Ketones via Selective Epoxide Opening/Alkylation Reactions with Primary Alcohols. Org. Lett. 2021, 23, 5229.
5. W. Iali, R. K. Suleiman, B. E. Ali, Highly efficient NHC-iridium(I) catalyzed disulfide bond forming reaction. Appl Organomet Chem. 2022, 36, e6597.