罗丹明标记昆布五糖,RB-Laminaripentaose
  • 罗丹明标记昆布五糖,RB-Laminaripentaose

罗丹明标记昆布五糖/RB-Laminaripentaose/罗丹明B-β-1,3-葡聚五糖/Rhodamine B-Laminaripentaose/RB-LP5 / LP5-RB

价格 询价
包装 5mg 10mg 20mg
最小起订量 5mg
发货地 陕西
更新日期 2026-05-09
QQ交谈 微信洽谈

产品详情

中文名称:罗丹明标记昆布五糖英文名称:RB-Laminaripentaose
品牌: Xingbieak产地: 陕西
保存条件: -20℃纯度规格: 95%
产品类别: 标记物
是否进口: 用途: 科研
产品规格: mg别名: 罗丹明B-β-1,3-葡聚五糖/Rhodamine B-Laminaripentaose/RB-LP5 / LP5-RB/Laminaripentaose-Rhodamine B conjugate/荧光标记β-葡聚糖探针
分子式: NA
2026-05-09 罗丹明标记昆布五糖 RB-Laminaripentaose 5mg/RMB;10mg/RMB;20mg/RMB Xingbieak 陕西 -20℃ 95% 标记物

罗丹明标记昆布五糖/RB-Laminaripentaose/罗丹明B-β-1,3-葡聚五糖/Rhodamine B-Laminaripentaose/RB-LP5 / LP5-RB/Laminaripentaose-Rhodamine B conjugate/荧光标记β-葡聚糖探针

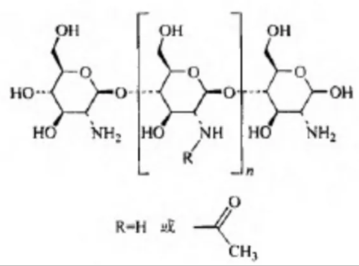
罗丹明标记昆布五糖”(Rhodamine-Laminaripentaose 或 RB-Laminaripentaose)指的是一种将罗丹明(Rhodamine, RB)荧光染料共价连接到昆布五糖(Laminaripentaose) 分子上的化学偶联物。

1. 核心成分介绍

  • 昆布五糖 (Laminaripentaose)

    • 是由五个葡萄糖分子通过 β-1,3-糖苷键连接而成的寡糖。

    • 它是β-1,3-葡聚糖(一种广泛存在于真菌细胞壁、某些藻类和植物中的多糖)的基本结构单元或降解片段。

    • 因此,它可作为研究β-1,3-葡聚糖相关生物过程的模型分子。

  • 罗丹明 (Rhodamine, RB)

    • 是一类红色或橙红色荧光染料(如常见的罗丹明B、罗丹明6G、TRITC等),具有高荧光量子产率和良好的光稳定性。

    • 其异硫氰酸酯衍生物(如TRITC)能与分子中的氨基(-NH₂)发生特异性反应,形成稳定的硫脲键,常用于生物分子的荧光标记。


2. RB-Laminaripentaose 的制备

为了实现标记,通常需要:

  1. 在昆布五糖分子上引入一个化学连接臂(linker),该连接臂末端带有一个伯氨基(-NH₂)

  2. 使用罗丹明异硫氰酸酯(如TRITC)与该氨基反应,形成共价偶联。

  3. 通过色谱等方法纯化产物,得到纯净的 RB-Laminaripentaose


3. 主要研究应用

这种荧光标记的寡糖探针在以下领域有重要价值:

  • 模式识别受体(PRR)研究

    • 受体结合实验: 通过荧光显微镜或流式细胞术,观察探针与细胞表面Dectin-1的结合。

    • 受体定位与内化研究: 追踪受体-配体复合物的内吞过程和细胞内运输路径。

    • 竞争性结合实验: 验证其他分子是否能阻断Dectin-1与β-葡聚糖的结合。

    • 真菌的β-1,3-葡聚糖是重要的病原体相关分子模式(PAMP)。

    • 宿主免疫细胞(如巨噬细胞、树突状细胞)表面的模式识别受体,如Dectin-1,能特异性识别β-1,3-葡聚糖。

    • RB-Laminaripentaose 可作为 Dectin-1 的特异性配体探针。

    • 相关产品:

    • FITC标记L-色氨酸,FITC-L-Tryptophan

    • FITC标记头孢他啶,FITC-Ceftazidime

    • Cy7-生物素,CY7-BIOTIN

    • FITC标记L-精氨酸,FITC-L(+)-Arginine

    • FITC-L-苏氨酸,FITC-L-Threonine


关键字: 罗丹明标记昆布五糖;RB-Laminaripentaose;罗丹明B-β-1,3-葡聚五糖;Rhodamine B-Laminari;RB-LP5 / LP5-RB;

公司简介

陕西星贝爱科生物科技有限责任公司是西北一家从事经营进口科研试剂销售公司,科研试剂主要涉及生命科学、医 学及药学,生命科学试剂供应商之一
成立日期 2022-08-30 (4年) 注册资本 100万元
员工人数 1-10人 年营业额 ¥ 100万以内
主营行业 生物材料,纳米材料,高分子化学,合成材料,通用试剂 经营模式 贸易,试剂,定制
  • 陕西星贝爱科生物科技有限责任公司
VIP 1年
  • 公司成立:4年
  • 注册资本:100万元
  • 企业类型:有限责任公司(自然人独资)
  • 主营产品:聚乙二醇衍生物,荧光标记,生物素标记,微球,纳米材料定制等
  • 公司地址:雁塔区小寨东路102号百隆广场B座1806室
询盘

罗丹明标记昆布五糖/RB-Laminaripentaose/罗丹明B-β-1,3-葡聚五糖/Rhodamine B-Laminaripentaose/RB-LP5 / LP5-RB相关厂家报价

产品名称 价格   公司名称 报价日期
询价
VIP1年
西安瑞禧生物科技有限公司
2026-02-28
询价
VIP4年
上海赛可锐生物科技有限公司
2026-05-15
询价
VIP1年
广州市碳水生物科技有限公司
2026-04-15
内容声明:
以上所展示的信息由商家自行提供,内容的真实性、准确性和合法性由发布商家负责。 商家发布价格指该商品的参考价格,并非原价,该价格可能随着市场变化,或是由于您购买数量不同或所选规格不同而发生变化。最终成交价格,请咨询商家,以实际成交价格为准。请意识到互联网交易中的风险是客观存在的
主页 | 企业会员服务 | 广告业务 | 联系我们 | 旧版入口 | 中文MSDS | CAS Index | 常用化学品CAS列表 | 化工产品目录 | 新产品列表 |投诉中心
Copyright © 2008 ChemicalBook 京ICP备07040585号  京公海网安备110108000080号  All rights reserved.