CMP-C5-炔基唾液酸,CMP-C5-alkynyl-Sialic Acid
  • CMP-C5-炔基唾液酸,CMP-C5-alkynyl-Sialic Acid

CMP-C5-alkynyl-Sialic Acid,CMP-C5-炔基唾液酸

价格 询价
包装 5mg 10mg 50mg
最小起订量 1mg
发货地 陕西
更新日期 2026-02-03
QQ交谈 微信洽谈

产品详情

中文名称:CMP-C5-炔基唾液酸英文名称:CMP-C5-alkynyl-Sialic Acid
品牌: xingbieak产地: 陕西西安
保存条件: -20℃纯度规格: 95%
产品类别:
是否进口: 用途: 科研
产品规格: mg别名: CMP-C5-炔基-唾液酸
分子式: C20H31N4O15P存储时间: 一年
销售范围: 全国分子量: 614.45
2026-02-03 CMP-C5-炔基唾液酸 CMP-C5-alkynyl-Sialic Acid 5mg/RMB;10mg/RMB;50mg/RMB xingbieak 陕西西安 -20℃ 95%

CMP-C5-alkynyl-Sialic Acid(CMP-C5-炔基-唾液酸)是一种在唾液酸分子C5位引入炔基修饰的衍生物,具有独特的化学结构和生物活性,广泛应用于糖生物学、糖基化研究和点击化学领域

一、基本信息

  • 中文名称:CMP-C5-炔基-唾液酸

  • 英文名称:CMP-C5-alkynyl-Sialic Acid

  • 分子式:C20H31N4O15P

  • 分子量:614.45

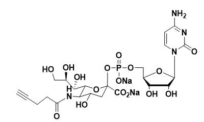
  • 结构组成:由胞苷一磷酸(CMP)和在唾液酸(Sialic Acid)的5位带有炔基(alkynyl)的基团组成。CMP代表胞苷-5'-单磷酸,而唾液酸是一种九碳糖酸。

结构式:
image.png

二、化学特性与结构

  • 炔基修饰:CMP-C5-alkynyl-Sialic Acid在唾液酸分子的C5位引入了炔基(-C≡CH),这一修饰赋予了该分子独特的化学反应性。炔基可以与叠氮基团(-N₃)发生点击化学反应(Click Chemistry),形成稳定的共价键。

  • 稳定性:CMP-C5-alkynyl-Sialic Acid在实验条件下具有良好的稳定性,可应用于多种生物和化学实验环境。

温馨提示:仅用于科研,不能用于人体!

相关产品:

14307-02-9 Mannosamine (ManNH2)


N-Acetylmannosamine (ManNAc)


3458-28-4 Mannose (Man)


685-73-4 D-Galacturonic acid (GalA)


1772-03-8 Galactosamine (GalNH2)


1811-31-0 N-Acetylgalactosamine (GalNAc)



关键字: CMP-C5-alkynyl-Siali;CMP-C5-炔基唾液酸;CMP-C5-炔基-唾液酸;614.45;

公司简介

陕西星贝爱科生物科技有限责任公司是西北一家从事经营进口科研试剂销售公司,科研试剂主要涉及生命科学、医 学及药学,生命科学试剂供应商之一
成立日期 2022-08-30 (4年) 注册资本 100万元
员工人数 1-10人 年营业额 ¥ 100万以内
主营行业 生物材料,纳米材料,高分子化学,合成材料,通用试剂 经营模式 贸易,试剂,定制
  • 陕西星贝爱科生物科技有限责任公司
VIP 1年
  • 公司成立:4年
  • 注册资本:100万元
  • 企业类型:有限责任公司(自然人独资)
  • 主营产品:聚乙二醇衍生物,荧光标记,生物素标记,微球,纳米材料定制等
  • 公司地址:雁塔区小寨东路102号百隆广场B座1806室
询盘

CMP-C5-alkynyl-Sialic Acid,CMP-C5-炔基唾液酸相关厂家报价

产品名称 价格   公司名称 报价日期
¥3500
VIP1年
湖北海嘉生物科技有限公司
2026-02-25
询价
VIP5年
湖北辰心药业有限公司
2026-01-24
询价
VIP5年
湖北楚烁生物科技有限公司
2025-12-20
内容声明:
以上所展示的信息由商家自行提供,内容的真实性、准确性和合法性由发布商家负责。 商家发布价格指该商品的参考价格,并非原价,该价格可能随着市场变化,或是由于您购买数量不同或所选规格不同而发生变化。最终成交价格,请咨询商家,以实际成交价格为准。请意识到互联网交易中的风险是客观存在的
主页 | 企业会员服务 | 广告业务 | 联系我们 | 旧版入口 | 中文MSDS | CAS Index | 常用化学品CAS列表 | 化工产品目录 | 新产品列表 |投诉中心
Copyright © 2008 ChemicalBook 京ICP备07040585号  京公海网安备110108000080号  All rights reserved.