羧甲纤维素钠
Suojia Xianweisuna
Carboxymethylcellulose Sodium

[9004-32-4]
本品为纤维素在碱性条件下与一氯醋酸钠作用生成的羧甲纤维素钠盐。按干燥品计算,含Na应为6.5%~9.5%。
【性状】本品为白色至微黄色纤维状或颗粒状粉末。
本品在乙醇中不溶。
【鉴别】 取本品1g,加温水50ml,搅拌使扩散均匀,制成胶体溶液,放冷,备用。
(1)取上述溶液10ml,加硫酸铜试液1ml,即生成蓝色絮状沉淀。
(2)取上述溶液5ml,加等体积氯化钡试液,即生成白色沉淀。
(3)取上述溶液,显钠盐的火焰反应(通则0301)。
【检查】黏度 取本品适量,按照标示项下要求标明的条件配制溶液,采用规定的测定条件,依法测定(通则0633第三法),应为标示黏度的75%~140%。
酸碱度 取本品0.5g,加温水50ml,剧烈搅拌,至形成胶体溶液,放冷,依法测定(通则0631),pH值应为6.5~8.0。
取代度 取本品2.5g,置于坩埚中,用预先加热至50~70℃的90%乙醇溶液洗涤多次,直至加1滴铬酸钾试液和1滴硝酸银试液的滤液呈砖红色为止,再用无水乙醇洗涤1次,将洗涤后的样品移入称量瓶中,于120℃干燥2小时(1小时左右时,将称量瓶内样品轻轻敲松)。移入干燥器内,冷却至室温,称取1.0g上述样品,精密称定,置于坩埚中,以小火烧灼使炭化,放入300℃马弗炉中,升温至700℃,保温15分钟,放冷,移入250ml锥形瓶中,加水100ml和硫酸滴定液(0.05mol/L)50.0ml,微沸10分钟,加甲基红指示液3滴,用氢氧化钠滴定液(0.1mol/L)滴定至红色刚褪。
按下式计算羧甲基毫摩尔数CB:

式中 CB为样品中羧甲基毫摩尔数,mmol/g;
V1为硫酸滴定液的体积,ml;
C1为硫酸滴定液的浓度,mol/L;
V2为氢氧化钠滴定液的体积,ml;
C2为氢氧化钠滴定液的浓度,mol/L;
m为取样量,g。
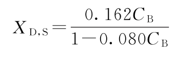
按下式计算羧甲纤维素钠的取代度XD. S。

按干燥品计算,羧甲纤维素钠的取代度应为0.59~1.00。
溶液的澄清度与颜色 取本品1.0g,加新沸放冷至40~50℃的水90ml,剧烈搅拌,至形成胶体溶液,放冷,用新沸放冷的水稀释至100ml。如显浑浊,与3号浊度标准液(通则0902第一法)比较,不得更浓;如显色,与黄色3号标准比色液(通则0901第一法)比较,不得更深。
氯化物 取本品0.2g(按干燥品计),加新沸放冷至40~50℃的水90ml,剧烈搅拌,至形成胶体溶液,放冷,加新沸放冷的水稀释至100ml。取10.0ml,依法检查(通则0801),与标准氯化钠溶液5.0ml制成的对照液比较,不得更浓(0.25%)。
硫酸盐 取本品0.5g(按干燥品计),加水50ml使形成胶体溶液,取10ml,加盐酸1 ml,摇匀,置水浴上加热,产生絮状沉淀,放冷,离心。沉淀用水洗涤,每次10ml,离心,重复三次,合并洗液与上清液置50ml量瓶中,用水稀释至刻度,摇匀。取10.0ml,置50ml纳氏比色管中,加水至约40ml,依法检查(通则0802),与标准硫酸钾溶液1.0ml用同一方法制成的对照液比较,不得更浓(0.5%)。
硅酸盐 取本品1.0g(按干燥品计),置坩埚中,炽灼至完全灰化;加稀盐酸20ml,盖上玻璃平皿,缓缓煮沸30分钟。移去玻璃平皿,水浴挥发至干,继续小火加热1小时,加热水10ml,搅拌均匀。经定量滤纸滤过,沉淀用热水洗涤至冲洗液中加硝酸银试液不再产生沉淀时止。沉淀与定量滤纸同置已恒重的坩埚中,在500~600℃炽灼至恒重,遗留残渣不得过0.5%。
乙醇酸钠 避光操作。取本品0.5g(按干燥品计),精密称定,置烧杯中,加5mol/L醋酸溶液与水各5ml,搅拌至少30分钟使乙醇酸钠溶解,加丙酮80ml与氯化钠2g,搅拌使羧甲纤维素完全沉淀,滤过,用丙酮定量转移至100ml量瓶中,用丙酮稀释至刻度,摇匀,静置24小时,取上清液作为供试品溶液。
取室温减压干燥12小时的乙醇酸0.310g,精密称定,置1000ml量瓶中,加水溶解并稀释至刻度,摇匀,精密量取5ml,置100ml量瓶中,加5mol/L醋酸溶液5ml,静置30分钟,加丙酮80ml与氯化钠2g,摇匀,用丙酮稀释至刻度,摇匀,静置24小时,作为对照溶液。
取供试品溶液和对照溶液各2.0ml,分别置25ml纳氏比色管中,水浴加热至丙酮挥去,放冷,精密加2,7-二羟基萘硫酸溶液(取2,7-二羟基萘10mg,加硫酸100ml使溶解,放至颜色褪去,2天内使用)20ml,密塞,摇匀,置水浴中加热20分钟,放冷,供试品溶液与对照溶液比较,颜色不得更深。
必要时,取上述两种溶液,照紫外-可见分光光度法(通则0401),10分钟内,在540nm的波长处测定吸光度,计算。含乙醇酸钠不得过0.4%。
干燥失重 取本品1.0g,在105℃干燥6小时,减失重量不得过10.0%(通则0831)。
铁盐 取本品1.0g(按干燥品计),置坩埚中,缓缓炽灼至完全炭化,放冷;加硫酸0.5ml使残渣湿润,低温加热至硫酸蒸气除尽后,在550~600℃炽灼使完全灰化,放冷,加盐酸1ml与硝酸3滴,置水浴上蒸干,放冷,加稀盐酸16ml与水适量,使残渣溶解,移至100ml量瓶中,加水至刻度,摇匀(必要时滤过),精密量取25ml,置50ml纳氏比色管中,依法检查(通则0807),与标准铁溶液4.0ml用同一方法制成的对照液比较,不得更深(0.016%)。
【含量测定】 取干燥失重项下的本品约0.25g,精密称定,置150ml锥形瓶中,加冰醋酸50ml,摇匀,加热回流2小时,放冷,移至100ml烧杯中,锥形瓶用冰醋酸洗涤3次,每次5ml,合并洗液于烧杯中,照电位滴定法(通则0701),用高氯酸滴定液(0.1mol/L)滴定,并将滴定的结果用空白试验校正。每1ml高氯酸滴定液(0.1mol/L)相当于2.299mg的Na。
【类别】崩解剂、黏合剂和填充剂等。
【贮藏】密封保存。
关键字: 药用级羧甲纤维素钠;医药用羧甲纤维素钠;制药用羧甲纤维素钠;药典标准羧甲纤维素钠;药用辅料羧甲纤维素钠;
位于古都西安,致力于药用辅料行业,秉承为客户提供优质服务,供应优质合格产品为己任,期待您的光临合作。 公司主要经营范围:公司主要给医院制剂室、皮肤所、防疫站、学校、卫生院、实验室、保健品厂、药厂等需要药用辅料的单位,提供各种医药辅料,试剂,中间体,提取物,消毒产品,化工原料和精细化学品等。此外为了满足客户需要我公司推出送货服务(凡是西安市二环内,购买2件产品,我公司给予免费送货服务。)