大鼠垂体腺苷酸环化酶激活肽27(PACAP-27)ELISA试剂盒 LM8K2201R,Rat PACAP-27
  • 大鼠垂体腺苷酸环化酶激活肽27(PACAP-27)ELISA试剂盒 LM8K2201R,Rat PACAP-27
  • 大鼠垂体腺苷酸环化酶激活肽27(PACAP-27)ELISA试剂盒 LM8K2201R,Rat PACAP-27

大鼠垂体腺苷酸环化酶激活肽27(PACAP-27)ELISA试剂盒

价格 1520 1960
包装 ≥48T ≥96T
最小起订量 1T
发货地 上海
更新日期 2026-04-09
QQ交谈 微信洽谈

产品详情

中文名称:大鼠垂体腺苷酸环化酶激活肽27(PACAP-27)ELISA试剂盒 LM8K2201R英文名称:Rat PACAP-27
品牌: 联迈生物/LMAI Bio产地: 中国/上海
保存条件: 常温纯度规格: 99%
产品类别: ELISA试剂盒
检测方法: 酶联免疫检测种属反应性: 大鼠
检测类型: 双抗夹心法样品类型: 血清、血浆、尿液、细胞上清液、细胞裂解液等
检测范围: 7.813-500pg/ml灵敏度: 4.688pg/ml
货号: LM8K2201R
2026-04-09 大鼠垂体腺苷酸环化酶激活肽27(PACAP-27)ELISA试剂盒 LM8K2201R Rat PACAP-27 48T/1520RMB;96T/1960RMB 1520 联迈生物/LMAI Bio 中国/上海 常温 99% ELISA试剂盒

大鼠垂体腺苷酸环化酶激活肽27(PACAP-27)ELISA试剂盒

货号:LM8K2201R

规格:48T/96T

种属:Rat

范围:7.813-500pg/ml

灵敏度:4.688pg/ml

用途:For quantitative detection of PACAP-27 in serum, plasma, tissue homogenates and otherbiological fluids.

存储:2-8°C

截止日期: see kit label

原理:Competitive

注意:仅供研究使用。

组成成分

2022091502585121020

2022091502585756813

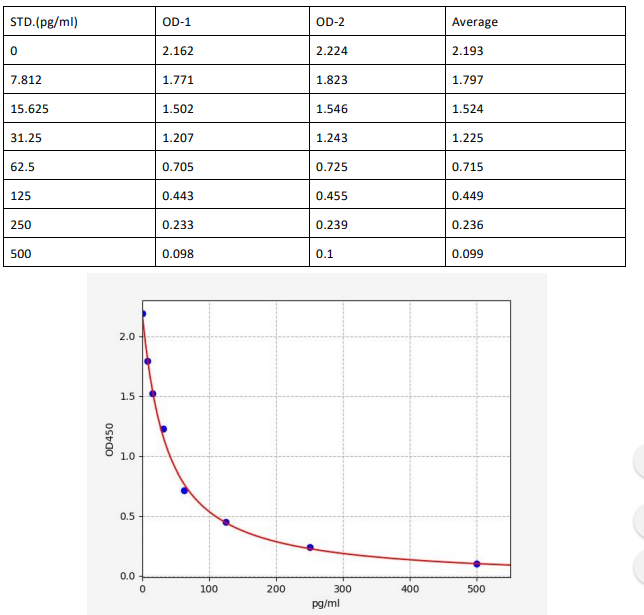
典型的数据和标准曲线

Results of a typical standard operation of a PACAP-27 ELISA Kit are listed below. This standard curve wasgenerated at our lab for demonstration purpose only. Users shall obtain standard curve as per experiment bythemselves. (N/A=not applicable)

2022091502590733359


本产品只适用于科研,不能用于临床诊断。严禁用于临床医疗及其他非科研用途!

以实际收货产品说明书为准,网站说明书仅供参考。

关键字: PACAP-27;垂体腺苷酸环化酶激活肽27;PACAP-27试剂盒;大鼠PACAP-27 ELISA试剂盒;

公司简介

上海联迈生物工程有限公司(LMAIBio)是一家经营生物、仪器、试剂、耗材等科研产品的研发以及销售一体的高科技生物公司,公司的服务和业务网络遍及全国,在同行获得一致好评。特别是生物试剂和细胞产品更是种类齐全、价格实惠,美国原装进口原代细胞,专业培养基,常用传统培养基,细胞培养用的相关试剂,氨基酸,抗生素,维他命类产品品种齐全,试剂耗材种类繁多。公司的规模和产品种类日益扩大和更新,我们一直秉承着代理良好的品牌产品,服务好每一位顾客,将好的科学技术和方法推荐顾客的服务宗旨为广大客户提供各类服务,产品、技术咨询。联迈生物(LMAIBio)不仅为客户提供“高质量的产品”,同时也提供“良好的 服务”,公司拥有一批基础知识扎实、产品知识丰富的销售人员,以及在生命科学领域经验丰富并且十分专业的技术支持团队,随时为客户提供技术咨询和售后服务。主营产品/服务:试剂盒:ELISA试剂盒、免疫组化试剂盒、分子生物学试剂盒、细胞凋亡试剂盒。细胞培养:血清,专业培养基,常用传统培养基。耗材:进口、国产细胞培养耗材、普通实验耗材。生化试剂:原装进口生化试剂、国产生化试剂。抗体:进口原装抗体、单克隆抗体、多克隆抗体、一抗、二抗等等。蛋白/抗原:重组蛋白,多肽合成,天然蛋白,细胞因子。
成立日期 2017-09-26 (9年) 注册资本 100万人民币
员工人数 1-10人 年营业额 ¥ 100万-300万
主营行业 生化试剂,抗体,蛋白组学,分子生物学,细胞生物学 经营模式 贸易,工厂,试剂,定制,服务
  • 上海联迈生物工程有限公司
VIP 1年
  • 公司成立:9年
  • 注册资本:100万人民币
  • 企业类型:有限责任公司(自然人独资)
  • 主营产品:试剂盒:ELISA试剂盒、免疫组化试剂盒、分子生物学试剂盒、细胞凋亡试剂盒。细胞培养:血清,专业培养基,常用传统培养基。耗材:进口、国产细胞培养耗材、普通实验耗材。生化试剂:原装进口生化试剂、国产生化试剂。抗体:进口原装抗体、单克隆抗体、多克隆抗体、一抗、二抗等等。蛋白/抗原:重组蛋白,多肽合成,天然蛋白,细胞因子。
  • 公司地址:上海市松江区荣乐中路12弄136号
询盘

大鼠垂体腺苷酸环化酶激活肽27(PACAP-27)ELISA试剂盒相关厂家报价

产品名称 价格   公司名称 报价日期
¥1280
VIP1年
上海双赢生物科技有限公司
2026-04-09
¥1000
VIP1年
上海心语生物科技有限公司
2026-04-10
¥1280
VIP1年
上海臻科生物科技有限公司
2026-04-10
内容声明:
以上所展示的信息由商家自行提供,内容的真实性、准确性和合法性由发布商家负责。 商家发布价格指该商品的参考价格,并非原价,该价格可能随着市场变化,或是由于您购买数量不同或所选规格不同而发生变化。最终成交价格,请咨询商家,以实际成交价格为准。请意识到互联网交易中的风险是客观存在的
主页 | 企业会员服务 | 广告业务 | 联系我们 | 旧版入口 | 中文MSDS | CAS Index | 常用化学品CAS列表 | 化工产品目录 | 新产品列表 |投诉中心
Copyright © 2008 ChemicalBook 京ICP备07040585号  京公海网安备110108000080号  All rights reserved.