ChemicalBook--->CAS DataBase List--->81265-93-2

81265-93-2

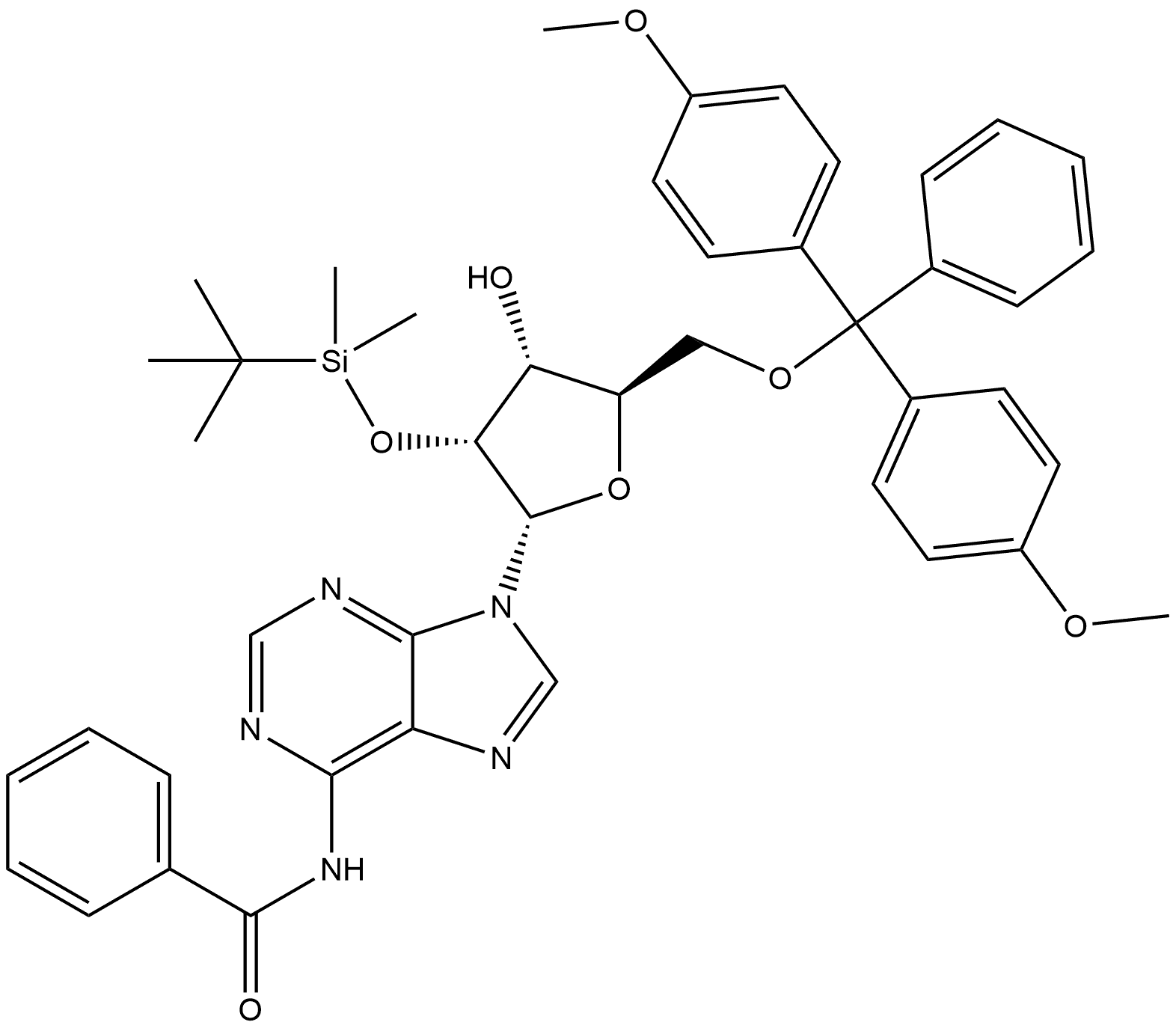
81265-93-2 Structure

81265-93-2 Structure
IdentificationBack Directory
[Name]

5'-O-DMT-2'-O-TBDMS-N-Bz-Adenosine
[CAS]

81265-93-2
[Synonyms]

5'-DMT-2'-TBDMS-Bz-rA
5'-O-DMT-2'-O-TBDMS-Bz-rA
5'-O-DMT-2'-O-TBDMS-N-Bz-Adenosine
2'-O-TBDMS-5'-O-DMT-N6-Bz adenosine
N6-Bz-2'-O-TBDMS-5'-O-DMT-adenosine
5'-O-DMT-2'-O-TBDMS-N6-Benzoyl-Adenosine
N6-Benzoyl-2'-O-tert-butyldimethylsilyl-5'-O-DMT-adenosine
5'-O-dimethoxytrityl-2'-O-tert-butyldimethylsilyl-N6-benzoyl adenosine
2'-O-t-ButyldiMethylsilyl-5'-O-(4,4'-diMethoxytrityl)-N6-benzoyl adenosine
N6-Benzoyl-5'-O-(4,4'-dimethoxytrityl)-2'-O-(tert-butyldimethylsilyl)adenosine
N-(9-((2R,3R,4R,5R)-5-((Bis(4-methoxyphenyl)(phenyl)methoxy)methyl)-3-((tert-butyldimethylsily
N-(9-((2R,3R,4R,5R)-5-((Bis(4-methoxyphenyl)(phenyl)methoxy)methyl)-3-((tert-but ldimethylsilyl)o
N-benzoyl-5'-O-[bis(4-Methoxyphenyl)phenylMethyl]-2'-O-[(1,1-diMethylethyl)diMethylsilyl]-Adenosine
Adenosine, N-benzoyl-5'-O-[bis(4-methoxyphenyl)phenylmethyl]-2'-O-[(1,1-dimethylethyl)dimethylsilyl]-
N-(9-((2R,3R,4R,5R)-5-((Bis(4-Methoxyphenyl)(phenyl)Methoxy)Methyl)-3-((tert-butyldiMethylsilyl)oxy)-4-hydroxytetrahydrofuran-2-yl)-9H-purin-6-yl)benzaMide
[EINECS(EC#)]

2017-001-1
[Molecular Formula]

C44H49N5O7Si
[MDL Number]

MFCD00080294
[MOL File]

81265-93-2.mol
[Molecular Weight]

787.97
Chemical PropertiesBack Directory
[density ]

1.23±0.1 g/cm3(Predicted)
[storage temp. ]

2-8°C
[form ]

Solid
[pka]

7.87±0.43(Predicted)
[color ]

White to off-white
[InChIKey]

DAZIGOPASNJPCJ-OLXVHECFNA-N
[SMILES]

O(C(C1=CC=C(OC)C=C1)(C1=CC=C(OC)C=C1)C1=CC=CC=C1)C[C@H]1O[C@@H](N2C3=C(C(=NC=N3)NC(=O)C3=CC=CC=C3)N=C2)[C@H](O[Si](C(C)(C)C)(C)C)[C@@H]1O |&1:25,27,46,55,r|
Hazard InformationBack Directory
[Uses]

5''-O-DMT-2''-O-TBDMS-N-Bz-Adenosine (CAS# 81265-93-2) is a fluorescent adenosine-containing compound which is often used in for DNA/RNA modifications for detection or the addition of synthetic oligonucleotide blocks.
[Synthesis]

Benzamide, N-[9-[5-O-[bis(4-methoxyphenyl)phenylmethyl]-α-D-ribofuranosyl]-9H-purin-6-yl]-

129666-75-7

tert-Butyldimethylsilyl chloride

18162-48-6

N6-benzoyl-3'-O-t-butyldiMethylsilyl-5'-O-(4,4'-diMethoxytrityl)-adenosine

81256-88-4

Benzamide, N-[9-[5-O-[bis(4-methoxyphenyl)phenylmethyl]-2-O-[(1,1-dimethylethyl)dimethylsilyl]-α-D-ribofuranosyl]-9H-purin-6-yl]-

129681-71-6

Synthesis of N-(9-((2R,3R,4S,5R)-5-((bis(4-methoxyphenyl)(phenyl)methoxy)methyl)-4-((tert-butyldimethylsilyl)oxy)-3-hydroxytetrahydrofuran-2-yl)-9H-purin-6-yl)benzamide from compound (CAS:129666-75-7) and tert-butyldimethylsilylene and the The general procedure for the compound (CAS:129681-71-6) was as follows: to a solution of tetrahydrofuran (THF, 800 mL) and pyridine (15 mL) of the product of the previous step (200 g, 296.9 mmol) was added sequentially silver cyanide (AgNCb, 83.2 g, 489.8 mmol, 1.65 equiv) and tert-butyldimethylchlorosilane ( TBSCl, 78.7 g, 522.5 mmol, 1.76 equiv). The reaction mixture was stirred at room temperature for 16 hours. After completion of the reaction, the reaction mixture was filtered, diluted with water (H2O, 1.0 L) and extracted with ethyl acetate (EtOAc, 3 x 1.0 L). The organic layers were combined, washed with brine (2 × 1.0 L), dried over anhydrous sodium sulfate (Na2SO4), and concentrated under reduced pressure. The residue was purified by silica gel (SiO2) column chromatography (eluent: petroleum ether/ethyl acetate=3/1 to 1/1) to afford the products D-2a (114 g, 145 mmol, 49% yield) and D-2b (53 g, 68 mmol, 23% yield).

[References]

[1] Patent: WO2018/156625, 2018, A1. Location in patent: Paragraph 0296
[2] Canadian Journal of Chemistry, 1982, vol. 60, p. 111 - 120
Spectrum DetailBack Directory
[Spectrum Detail]

5'-O-DMT-2'-O-TBDMS-N-Bz-Adenosine(81265-93-2)1HNMR
81265-93-2 suppliers list
Company Name: Allbiosyn Biotechnology Co.,Ltd.
Tel: +8618666985712 , +8618666985712
Website: www.allbiosyn.com
Company Name: ATK CHEMICAL COMPANY LIMITED
Tel: +undefined-21-51877795
Website: www.atkchemical.com
Company Name: Shenzhen Nexconn Pharmatechs Ltd
Tel: +86-755-89396905 +86-15013857715 , +86-15013857715
Website: www.chemicalbook.com/ShowSupplierProductsList31188/0_EN.htm
Company Name: Jinan Carbotang Biotech Co.,Ltd.
Tel: +8615866703830 , +8615866703830
Website: https://www.chemicalbook.com/ShowSupplierProductsList31189/0.htm
Company Name: BOC Sciences
Tel: +1-631-485-4226
Website: https://www.bocsci.com/
Company Name: Alchem Pharmtech,Inc.
Tel: 8485655694
Website: www.chemicalbook.com/ShowSupplierProductsList454175/0_EN.htm
Company Name: Antai Fine Chemical Technology Co.,Limited
Tel: 18503026267 , 18503026267
Website: www.chemicalbook.com/ShowSupplierProductsList1980510/0_EN.htm
Company Name: SHANGHAI T&W PHARMACEUTICAL CO., LTD.
Tel: +86-021-61551413 +8618813727289 , +8618813727289
Website: http://www.trustwe.com/
Company Name: Career Henan Chemica Co
Tel: +86-0371-86658258 +8613203830695 , +8613203830695
Website: www.coreychem.com/
Company Name: Finetech Industry Limited
Tel: +86-27-8746-5837 +8619945049750 , +8619945049750
Website: https://www.finetechnology-ind.com/
Company Name: NewCan Biotech Limited
Tel: +86-0571-86912261 +8613735419629 , +8613735419629
Website: https://www.newcanbio.com/
Company Name: Wuhu Nuowei chemistry Co., Ltd.
Tel: +86-0553-2911116-802 +86-18055326116 , +86-18055326116
Website: en.nuowei-chem.com/index.html
Company Name: Henan Aochuang Chemical Co.,Ltd.
Tel: +86-0371-63689365 +8618638391208 , +8618638391208
Website: http://www.aochuangchem.com/
Company Name: Chemtour Biotech Co., Ltd
Tel: +8617327281506 , +8617327281506
Website: www.chemtour.com
Company Name: SUZHOU SENFEIDA CHEMICAL CO.,LTD
Tel: +86-0512-83500002 +8618662433356 , +8618662433356
Website: www.sfdchem.com/
Company Name: SHANGHAI NOVRIBO BIOTECH
Tel: 17821030819 , 17821030819
Website:
Company Name: Wuhan Topule Biopharmaceutical Co., Ltd
Tel: +8618327326525 , +8618327326525
Website: topule.com/
Company Name: Zibo Hangyu Biotechnology Development Co., Ltd
Tel: +86-0533-2185556 +8615965530500 , +8615965530500
Website: www.chemicalbook.com/manufacturer/hangyu-chemical-25178/
Tags:81265-93-2 Related Product Information
81279-39-2 81256-89-5 81246-82-4 81256-88-4 81246-83-5 251647-48-0 140712-79-4 2645354-88-5 140712-82-9 128219-81-8 121058-85-3 171486-53-6 163878-63-5

  • HomePage | Member Companies | Advertising | Contact us | Previous WebSite | MSDS | CAS Index | CAS DataBase | Privacy | Terms | About Us
  • All products displayed on this website are only for non-medical purposes such as industrial applications or scientific research, and cannot be used for clinical diagnosis or treatment of humans or animals. They are not medicinal or edible.
    According to relevant laws and regulations and the regulations of this website, units or individuals who purchase hazardous materials should obtain valid qualifications and qualification conditions.
  • Copyright © 2023 ChemicalBook All rights reserved.