返回ChemicalBook首页>CAS数据库列表>1461704-01-7

1461704-01-7

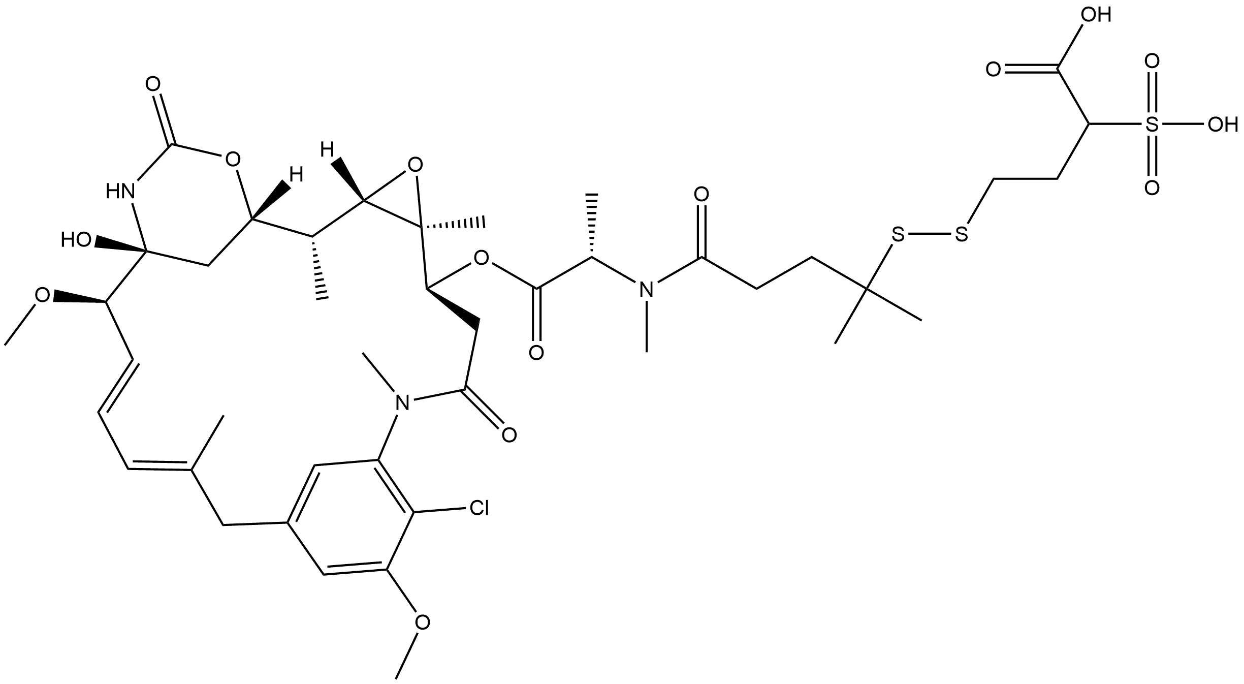
中文名称 SULFO-PDBA-DM4
英文名称 Soravtansine
CAS 1461704-01-7
分子式 C42H60ClN3O15S3
分子量 978.58
MOL 文件 1461704-01-7.mol
1461704-01-7 结构式 1461704-01-7 结构式

基本信息

英文别名
Soravtansine
Sulfo-PDBA-DM4
Sulfo-PDBA-DM4, 98%,
Maytansine, N2'-[4-[(3-carboxy-3-sulfopropyl)dithio]-4-methyl-1-oxopentyl]-N2'-deacetyl-

物理化学性质

密度1.41±0.1 g/cm3(Predicted)
酸度系数(pKa)0.09±0.50(Predicted)

常见问题列表

概述
Sulfo-PDBA-DM4 是 drug-linker conjugate,由 linker Sulfo-PDBA 和 毒性分子 DM4 连接而成的,可用来制备抗体偶联活性分子。Sulfo-PDBA 是一种谷氨酸可降解 (cleavable) 的 linker。
"1461704-01-7" 相关产品信息