返回ChemicalBook首页>CAS数据库列表>2748039-79-2

2748039-79-2

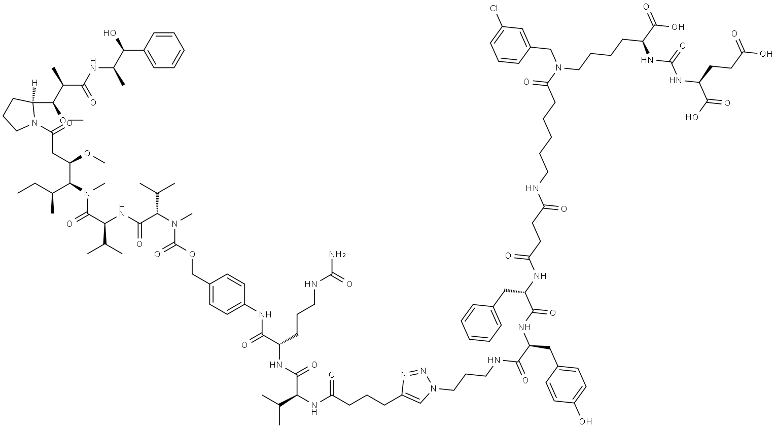
中文名称 化合物 PSMA-VAL-CIT-PAB-MMAE
英文名称 INDEX NAME NOT YET ASSIGNED
CAS 2748039-79-2
分子式 C114H165ClN20O26
分子量 2267.1
MOL 文件 2748039-79-2.mol
2748039-79-2 结构式 2748039-79-2 结构式

基本信息

中文别名
化合物 PSMA-VAL-CIT-PAB-MMAE

物理化学性质

密度1.31±0.1 g/cm3(Predicted)
酸度系数(pKa)3.78±0.10(Predicted)
形态Solid
颜色White to off-white

常见问题列表

概述
PSMA-Val-Cit-PAB-MMAE 是一种基于MMAE的新型小分子PSMA靶向结合物,用于前列腺癌的化疗。
"2748039-79-2" 相关产品信息