返回ChemicalBook首页>CAS数据库列表>3003004-76-7

3003004-76-7

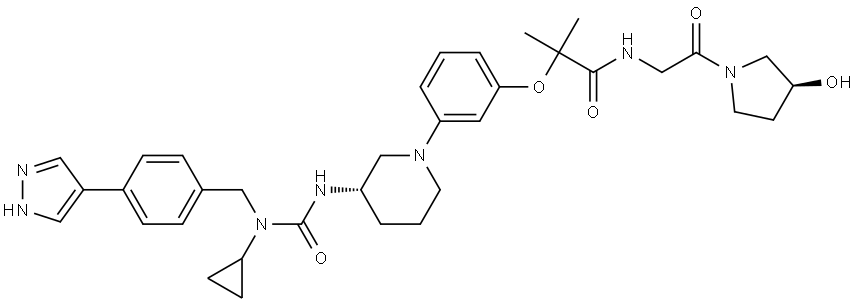
英文名称 Propanamide, 2-[3-[(3S)-3-[[[cyclopropyl[[4-(1H-pyrazol-4-yl)phenyl]methyl]amino]carbonyl]amino]-1-piperidinyl]phenoxy]-N-[2-[(3S)-3-hydroxy-1-pyrrolidinyl]-2-oxoethyl]-2-methyl-
CAS 3003004-76-7
分子式 C35H45N7O5
分子量 643.78
MOL 文件 3003004-76-7.mol
3003004-76-7 结构式 3003004-76-7 结构式

基本信息

英文别名
Propanamide, 2-[3-[(3S)-3-[[[cyclopropyl[[4-(1H-pyrazol-4-yl)phenyl]methyl]amino]carbonyl]amino]-1-piperidinyl]phenoxy]-N-[2-[(3S)-3-hydroxy-1-pyrrolidinyl]-2-oxoethyl]-2-methyl-

物理化学性质

沸点1004.5±65.0 °C(predicted)
密度1.34±0.1 g/cm3(Temp: 20 °C; Press: 760 Torr)(predicted)
酸度系数(pKa)13.52±0.20(predicted)
形态Solid
颜色White to off-white

常见问题列表

概述
Antitumor agent-171 (Compound 35) 是 β-catenin/BCL9 相互作用的抑制剂,IC50 为 1.61 μM。Antitumor agent-171 抑制 axin2 基因表达,IC50 为 0.84 μM。Antitumor agent-171 对 β-catenin 具有高亲和力,Kd 为 0.63 μM。Antitumor agent-171 抑制 HCT116 细胞活力,IC50 为 4.39 μM。Antitumor agent-171 激活 T 细胞,促进抗原呈递,并在小鼠模型中表现出抗肿瘤活性和良好的药代动力学特征。
"3003004-76-7" 相关产品信息