35661-39-3
中文名称
N-芴甲氧羰基-L-丙氨酸
英文名称
FMOC-Ala-OH
CAS
35661-39-3
EINECS 编号
252-660-6
分子式
C18H17NO4
MDL 编号
MFCD00037139
分子量
311.33
MOL 文件
35661-39-3.mol
更新日期
2026/02/28 15:57:56
35661-39-3 结构式
基本信息
中文别名
FMOC-L-丙氨酸N-芴甲氧羰基-L-丙氨酸
FMOC-L-ALPHA-丙氨酸
N-FMOC-L-丙氨酸
芴甲氧羰酰-丙氨酸
N-(9-芴甲氧羰基)-L-丙氨酸
N-FMOC--L-丙氨酸单水合物
英文别名
9-FMOC-L-ALANINEFMOC-ALA
FMOC-ALA-OH
FMOC-L-ALA
FMOC-L-ALANINE
FMOC-L-ALA-OH
FMOC-L-ALPHA-ALANINE
N-(9-FLUORENYLMETHOXYCARBONYL)-L-ALANINE
N-(9-FLUORENYLMETHOXYCARBONYL)-L-ALPHA-ALANINE
N-9-FLUORENYLMETHYLOXYCARBONYL-L-ALANINE
N-[(9H-FLUOREN-9-YLMETHOXY)CARBONYL]-L-ALANINE
N-ALPHA-(9-FLUORENYLMETHOXYCARBONYL)-L-ALANINE
N-ALPHA-(9-FLUORENYLMETHYLOXYCARBONYL)-L-ALANINE
N-ALPHA-FMOC-L-ALA
N-ALPHA-FMOC-L-ALANINE
N-FMOC-L-ALANINE
Fmoc-DL-Alanine
L-ALANINE-2-13C, N-FMOC DERIV 99&
Fmoc-L-alanine,98%
L-Alanine-2-13C-N-FMOC
所属类别
生物化工:丙氨酸类衍生物物理化学性质
外观性质白色结晶粉末。熔点:150~157℃比旋光度:-19 º
熔点147-153 °C(lit.)
比旋光度-19 º (c=1,DMF)
沸点451.38°C (rough estimate)
密度1.2626 (rough estimate)
折射率-18.5 ° (C=1, DMF)
储存条件2-8°C
溶解度可溶于DMSO(少量)、DMF(少量)、甲醇(少量)
酸度系数(pKa)3.91±0.10(Predicted)
形态固体
颜色白色
旋光度 (Optical Rotation)[α]20/D 18°, c = 1 in DMF
水溶解性易溶于水。
检测方法T,NMR,HPLC,Rotation
BRN2225975
InChIKeyQWXZOFZKSQXPDC-NSHDSACASA-N
CAS Number Unlabeled35661-39-3
安全数据
警示词警告
危险性描述H315-H319-H335
防范说明P261-P271-P280
危险品标志Xi
危险类别码36/37/38
安全说明S24/25
WGK Germany3
危险等级IRRITANT
海关编码29242990
常见问题列表
简介
N-芴甲氧羰基-L-丙氨酸又叫(S)-2-((((9H-芴-9-基)甲氧基)羰基)氨基)丙酸,是一种氨基酸衍生物,可由L-丙氨酸通过Fmoc保护得到。有文献报道其可用于制备一种芳杂环类衍生物(S)-5-(1-氨乙基)-2-(3-(环丙基甲氧基)-4-甲氧基苯基)-N- (2,4-二氟苄基)噻唑-4-甲酰胺盐酸盐,包含所述化合物的药物组合物对PDE4有较好的亲和作用,特别是对慢性呼吸阻塞有较好的治疗效果。生物活性
N-芴甲氧羰基-L-丙氨酸属于氨基酸类衍生物,其和代谢激素的分泌、运动期间的燃料供应、压力相关任务期间的精神表现相关,并且能有效防止运动引起的肌肉损伤。制备
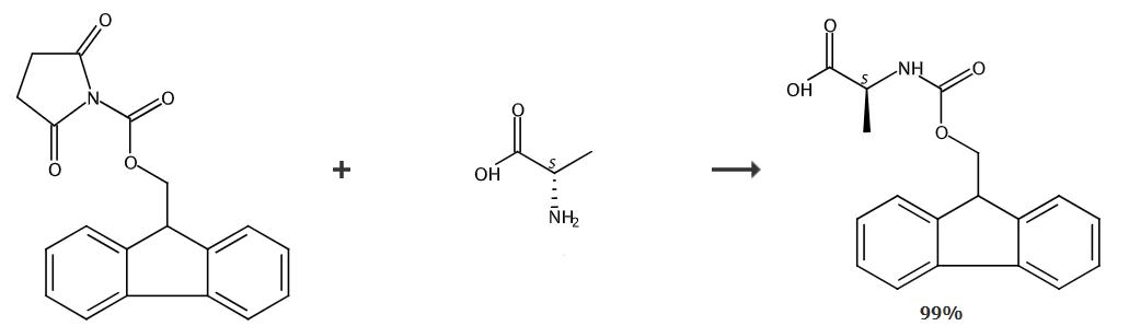
将Na2CO3(29.8g,280.9mmol)和9-芴甲基-N-琥珀酰亚胺基碳酸酯(28.4g,84.27mmol)加入到L-丙氨酸(5g,56.18mmol)的水/二氧六环(v/v=1/1,400mL)溶液中,室温下搅拌18h,过滤,Et2O萃取(100mL×3),水相用浓盐酸酸化,乙酸乙酯萃取(150mL×3),合并有机相后用Na2SO4干燥,浓缩,得到17.3g白色固体即N-芴甲氧羰基-L-丙氨酸,产率:99%。
知名试剂公司产品信息
Acros Organics
FMOC-L-alpha-丙氨酸FMOC-L-alpha-Alanine, 98%(35661-39-3)
Sigma Aldrich
35661-39-3(sigmaaldrich)N-芴甲氧羰基-L-丙氨酸价格(试剂级)
| 报价日期 | 产品编号 | 产品名称 | CAS号 | 包装 | 价格 |
| 2025/12/22 | F0305 | N-(9-芴甲氧羰基)-L-丙氨酸一水合物 N-[(9H-Fluoren-9-ylmethoxy)carbonyl]-L-alanine Monohydrate | 35661-39-3 | 5G | 60元 |
| 2025/12/22 | HY-W009204 | N-芴甲氧羰基-L-丙氨酸 Fmoc-Ala-OH | 35661-39-3 | 100 g | 187元 |
| 2025/12/22 | F0305 | N-(9-芴甲氧羰基)-L-丙氨酸一水合物 N-[(9H-Fluoren-9-ylmethoxy)carbonyl]-L-alanine Monohydrate | 35661-39-3 | 25G | 185元 |
