返回ChemicalBook首页>CAS数据库列表>452782-06-8

452782-06-8

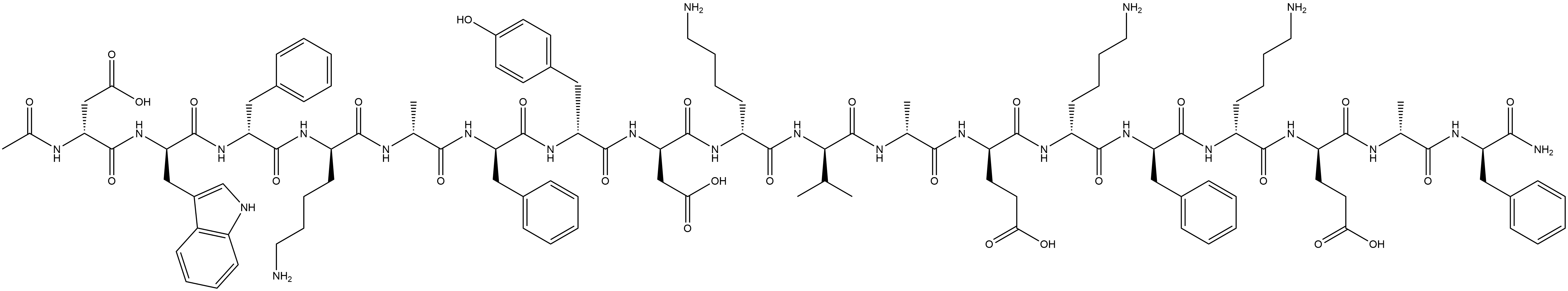
英文名称 D-Phenylalaninamide, N-acetyl-D-α-aspartyl-D-tryptophyl-D-phenylalanyl-D-lysyl-D-alanyl-D-phenylalanyl-D-tyrosyl-D-α-aspartyl-D-lysyl-D-valyl-D-alanyl-D-α-glutamyl-D-lysyl-D-phenylalanyl-D-lysyl-D-α-glutamyl-D-alanyl-
CAS 452782-06-8
分子式 C114H156N24O28
分子量 2310.6
MOL 文件 452782-06-8.mol
452782-06-8 结构式 452782-06-8 结构式

基本信息

英文别名
D-Phenylalaninamide, N-acetyl-D-α-aspartyl-D-tryptophyl-D-phenylalanyl-D-lysyl-D-alanyl-D-phenylalanyl-D-tyrosyl-D-α-aspartyl-D-lysyl-D-valyl-D-alanyl-D-α-glutamyl-D-lysyl-D-phenylalanyl-D-lysyl-D-α-glutamyl-D-alanyl-

物理化学性质

沸点2350.4±65.0 °C(Predicted)
密度1.308±0.06 g/cm3(Predicted)
酸度系数(pKa)4.19±0.10(Predicted)
"452782-06-8" 相关产品信息