94125-34-5
94125-34-5 结构式
基本信息
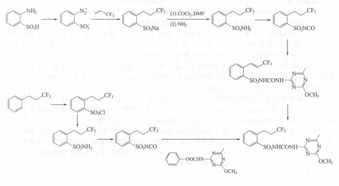
氟磺隆
1-(4-甲氧基-6-甲基-1,3,5-三嗪-2-基)-3-(2,(3,3,3-三氟丙基)苯基磺酰基)脲
三氟丙磺隆
三氟丙磺隆/氟磺隆
EXCEED
PEAK
PROSULFURON
N-((3-(4-methoxy-6-methyl-1,3,5-triazin-2-yl)amino)carbonyl)-2-(3,3,3-trifluoropropyl)benzone sulfnamide
PROSULFURON PESTANAL, 100 MG
prosulfuron (bsi, pa e-iso)
PROSULPHURON
CGA152005
N-[[(4-methoxy-6-methyl-1,3,5-triazin-2-yl)amino]carbonyl]-2-(3,3,3-trifluoropropyl)benzenesulfonamide
prosulfuron 1-(4-methoxy-6-methyl-1,3,5-triazin-2-yl)-3-[2-(3,3,3-trifluoropropyl)phenylsulfonyl]urea
物理化学性质
安全数据
常见问题列表
氟磺隆纯品为无色无味结晶体,纯度≥95%。熔点155℃(分解)。蒸气压≤3.5×10-3mPa(25℃)。分配系数Kow lg(25℃);1.5(pH 5.0),-0.21(pH 6.9),-0.76(pH 9.0)。Henry值<3×10-4Pa ·m3/ mol。水中溶解度(25℃ , mg/L):蒸馏水29(pH4.5),缓冲溶液:87(pH 5.0)、4000(pH 6.8)、43000(pH 7.7)。有机溶剂中溶解度(25℃,g/L):乙醇8.4,丙酮160,甲苯6.1,正己烷0.0064,正辛醇1.4,乙酸乙酯56,二氯甲烷180。稳定性:可快速水解,DT505~10d(pH 5),>ly(pH 7,9)(均在20℃)。对光稳定,pKa3.76。
急性经口 LD50( mg/kg):大鼠986,小鼠1247。兔急性经皮LD50 >2000mg/kg。大鼠急性吸入LC50(4h)>5400mg/L。对兔眼睛和兔皮无刺激性。小鼠NOAEL(18个月)1.9mg/(kg·d),NOEL(2y, mg/kg饲料):大鼠200[8.6mg/( kg ·d)](2y),狗1.9(1y)(60mg/L)。ADI(EC)0.02mg/kg[2002],(EPA)0.02mg/kg[1995]。无致畸、致突变作用(大鼠,兔)。
与其他磺酰脲类除草剂一样是乙酰乳酸合成酶(ALS)抑制剂。通过抑制必需氨基酸缬氨酸和异亮氨酸的合成而起作用,从而阻止细胞的分裂和植物的生长。它的选择性来源于在作物中的快速代谢。通过杂草根和叶的吸收,在木质部和韧皮部传导到作用位点,在施药后1~3周杂草死亡。不能与有机磷农药混用。
氟磺隆的应用:
(1)适宜作物与安全性 玉米、高粱、禾谷类作物、草坪和牧场。其在土壤中的半衰期为8~40d,在玉米植株内的半衰期为1~2.5h,明显短于其他商品化磺酰脲类除草剂在玉米植株内的代谢时间。对玉米等安全,对后茬作物如大麦、小麦、燕麦、水稻、大豆、马铃薯影响不大,但对甜菜、向日葵有时会产生药害。
(2)防除对象 主要用于防除阔叶杂草。对茴麻属、苋属、藜属、蓼属、繁缕属等杂草具有优异的防效。
氟磺隆的合成主要由如下两条路线:

