甲氧噻草胺
|
|
- CAS号:
- 96491-05-3
- 英文名:
- THENYLCHLOR
- 英文别名:
- ONEBEST;NSK-850;KUSAMETS;THENYLCHLOR;THENYLCHLOR STANDARD;Thenylchlor solution;C17445500 Thenylchlor;thienylchloride (bsi, pa e-iso);Thenylchlor 100 μg/ml Acetonitrile;Thenylchlor 10 μg/mL in Cyclohexane
- 中文名:
- 甲氧噻草胺
- 中文别名:
- 噻芬丙胺;噻吩甲氯;甲氧噻草胺;甲醇中噻吩草胺;甲氧噻草胺标准品;噻吩草胺 标准品;甲醇中甲氧噻草胺;甲苯中甲氧噻草胺标准品;噻芬丙胺/甲氧噻草胺/噻吩甲氯;甲苯中噻吩草胺溶液, 1000ΜG/ML
- CBNumber:
- CB4298887
- 分子式:
- C16H18ClNO2S
- 分子量:
- 323.84
- MOL File:
- 96491-05-3.mol
|
|
|
甲氧噻草胺化学性质
-
熔点:
-
72~80℃
-
|
-
沸点:
-
174℃ (0.5mmHg)
-
|
-
密度:
-
1.249±0.06 g/cm3(Predicted)
-
|
-
储存条件:
-
0-6°C
-
|
-
酸度系数(pKa):
-
1.39±0.50(Predicted)
-
|
甲氧噻草胺性质、用途与生产工艺
甲氧噻草胺主要是通过阻碍蛋白质的合成而抑制细胞的分裂。药剂通过植物幼芽吸收,进入植物体内抑制蛋白酶合成,芽和根停止生长,不定根无法形成,最终导致枯死。
主要用于稻田苗前防除一年生禾本科杂草和多数阔叶杂草,对稗草(二叶期以前,包括二叶期)有特效。使用剂量为180~270g(a.i.)/hm2[亩用量为12~18g(a.i.)]。
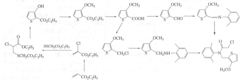
以丙烯酸乙酯、巯基乙酸乙酯为起始原料,经加成、合环等一系列反应制得中间体羟基噻酚羧酸酯。再经烷基化、还原等反应制得取代的苯胺。最后与氯乙酰氯反应即得甲氧噻草胺。反应式为:

甲氧噻草胺
上下游产品信息
上游原料
下游产品
96491-05-3, 甲氧噻草胺 相关搜索:
- 除草剂
- C16H18ClNO2S
- 甲醇中噻吩草胺
- 甲醇中甲氧噻草胺
- 甲苯中噻吩草胺溶液, 1000ΜG/ML
- THENYLCHLOR@100 ΜG/ML IN ACETONITRILE
- 甲氧噻草胺标准品
- 噻吩草胺 标准品
- THENYLCHLOR@1000 ΜG/ML IN ACETONITRILE
- 甲苯中甲氧噻草胺标准品
- 2-氯-N-(3-甲氧基-2-噻酚基)-2′,6′-二甲基乙酰苯胺
- 噻芬丙胺/甲氧噻草胺/噻吩甲氯
- 噻芬丙胺
- 噻吩甲氯
- 甲氧噻草胺
- 96491-05-3
- Thenylchlor 10 μg/mL in Cyclohexane
- Thenylchlor 100 μg/ml Acetonitrile
- LA17445500CY Thenylchlor 10μg/mLin Cyclohexane
- C17445500 Thenylchlor
- Thenylchlor Solution in Toluene, 1000μg/mL
- Acetamide, 2-chloro-N-(2,6-dimethylphenyl)-N-[(3-methoxy-2-thienyl)methyl]-
- Thenylchlor@100 μg/mL in Acetonitrile
- Thenylchlor@1000 μg/mL in Acetonitrile
- 2-chloro-N-(3-methoxy-2-thenyl)-2',6'-dimethylacetanilide
- Thenylchlor solution
- 2-chloro-N-(3-methoxy-2-thienyl-2′,6′-dimethylacetanilide
- 2-chloro-N-(2,6-dimethylphenyl)-N-((3-methoxy-2-thienyl)methyl)acetamide
- NSK-850
- N-[(3-Methoxy-2-thienyl)methyl]-N-(chloroacetyl)-2,6-dimethylaniline
- N-(3-Methoxy-2-thienylmethyl)-N-(2,6-dimethylphenyl)chloroacetamide
- 2-Chloro-N-(3-methoxy-2-thienylmethyl)-2',6'-dimethylacetoanilide
- THENYLCHLOR STANDARD
- thienylchloride (bsi, pa e-iso)
- KUSAMETS
- ONEBEST
- THENYLCHLOR