LIPID A, DIPHOSPHORYL FROM ESCHERICHIA COLI F-583 (RD MUTANT)

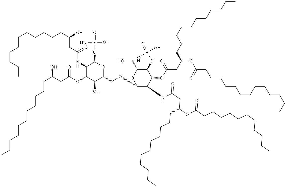
LIPID A, DIPHOSPHORYL FROM ESCHERICHIA COLI F-583 (RD MUTANT) Struktur
95991-05-2
CAS-Nr.
95991-05-2
Englisch Name:
LIPID A, DIPHOSPHORYL FROM ESCHERICHIA COLI F-583 (RD MUTANT)
Synonyma:
lipid A, diphosphoryl;LIPID A, DIPHOSPHORYL FROM SALMONELLA*MI NNESOTA RE-;LIPID A, DIPHOSPHORYL FROM ESCHERICHIA COLI F-583 (RD MUTANT);LIPID A, DIPHOSPHORYL FROM SALMONELLA MINNESOTA RE-595 (R MUTANTS);lipid a, diphosphoryl from salmonella enterica serotype minnesota re 595 (re mutant);2-deoxy-6-O-<2-deoxy-2-<(R)-3-dodecanoyloxytetradecanoylamino>-3-O-<(R)-3-tetradecanoyloxytetradecanoyl>-β-D-glucopyranosyl>-3-O-<(R)-3-hydroxytetradecanoyl>-2-<(R)-3-hydroxytetradecanoylamino>-α-D-glucopyranose 1,4'-bis(phosphate);α-D-Glucopyranose, 2-deoxy-6-O-[2-deoxy-2-[[(3R)-1-oxo-3-[(1-oxododecyl)oxy]tetradecyl]amino]-3-O-[(3R)-1-oxo-3-[(1-oxotetradecyl)oxy]tetradecyl]-4-O-phosphono-β-D-glucopyranosyl]-2-[[(3R)-3-hydroxy-1-oxotetradecyl]amino]-, 1-(dihydrogen phosphate) 3-[(3R)-3-hydroxytetradecanoate]
CBNumber:
CB1457188
Summenformel:
C94H178N2O25P2
Molgewicht:
1798.37
MOL-Datei:
95991-05-2.mol

LIPID A, DIPHOSPHORYL FROM ESCHERICHIA COLI F-583 (RD MUTANT) Eigenschaften

Dichte
1.13±0.1 g/cm3(Predicted)
storage temp. 
2-8°C
Aggregatzustand
lyophilized powder
pka
1.73±0.10(Predicted)
Biologische Quelle
Escherichia coli (F583 Rd mutant)

Sicherheit

Kennzeichnung gefährlicher Xn
WGK Germany  3

LIPID A, DIPHOSPHORYL FROM ESCHERICHIA COLI F-583 (RD MUTANT) Chemische Eigenschaften,Einsatz,Produktion Methoden

Verwenden

Lipid A, diphosphoryl from?Escherichia coli?F583 (Rd mutant) has been used:
  • to study the effect of various lipid A molecules on lung pericyte proliferation in vitro
  • to test on THP-1 and J774A.1 cells for neopterin and nitrite formation respectively
  • as lipopolysaccharides (LPS) derivatives in binding experiments
  • to stimulate the spleen cells and as a mitogen stimulation for toll like receptor 4 (TLR4)

Allgemeine Beschreibung

Lipid A is the fundamental structure of lipopolysaccharides (LPS), present in bacteria.

Biochem/physiol Actions

Lipid A is mainly essential for the robust immunostimulatory activities of lipopolysaccharides (LPS) in human. Lipid A is the hydrophobic domain of LPS helps in anchoring LPS to the plasma membrane of bacteria. It is immunologically active and an important constituent of LPS recognised by immune system.

LIPID A, DIPHOSPHORYL FROM ESCHERICHIA COLI F-583 (RD MUTANT) Upstream-Materialien And Downstream Produkte

Upstream-Materialien

Downstream Produkte


LIPID A, DIPHOSPHORYL FROM ESCHERICHIA COLI F-583 (RD MUTANT) Anbieter Lieferant Produzent Hersteller Vertrieb Händler.

Global( 4)Lieferanten
Firmenname Telefon E-Mail Land Produktkatalog Edge Rate
Sigma-Aldrich 021-61415566 800-8193336
orderCN@merckgroup.com China 51395 80

  • LIPID A, DIPHOSPHORYL FROM ESCHERICHIA COLI F-583 (RD MUTANT)
  • LIPID A, DIPHOSPHORYL FROM SALMONELLA MINNESOTA RE-595 (R MUTANTS)
  • LIPID A, DIPHOSPHORYL FROM SALMONELLA*MI NNESOTA RE-
  • lipid a, diphosphoryl from salmonella enterica serotype minnesota re 595 (re mutant)
  • lipid A, diphosphoryl
  • 2-deoxy-6-O-<2-deoxy-2-<(R)-3-dodecanoyloxytetradecanoylamino>-3-O-<(R)-3-tetradecanoyloxytetradecanoyl>-β-D-glucopyranosyl>-3-O-<(R)-3-hydroxytetradecanoyl>-2-<(R)-3-hydroxytetradecanoylamino>-α-D-glucopyranose 1,4'-bis(phosphate)
  • α-D-Glucopyranose, 2-deoxy-6-O-[2-deoxy-2-[[(3R)-1-oxo-3-[(1-oxododecyl)oxy]tetradecyl]amino]-3-O-[(3R)-1-oxo-3-[(1-oxotetradecyl)oxy]tetradecyl]-4-O-phosphono-β-D-glucopyranosyl]-2-[[(3R)-3-hydroxy-1-oxotetradecyl]amino]-, 1-(dihydrogen phosphate) 3-[(3R)-3-hydroxytetradecanoate]
  • 95991-05-2
  • C94H178N2O25P2
  • BioChemical
  • Biochemicals and Reagents
  • Glycolipids
  • Complex Lipids
  • Others
  • Lipids
  • Complex Lipids
  • Glycolipids
  • Others
Copyright 2019 © ChemicalBook. All rights reserved