|
|
|
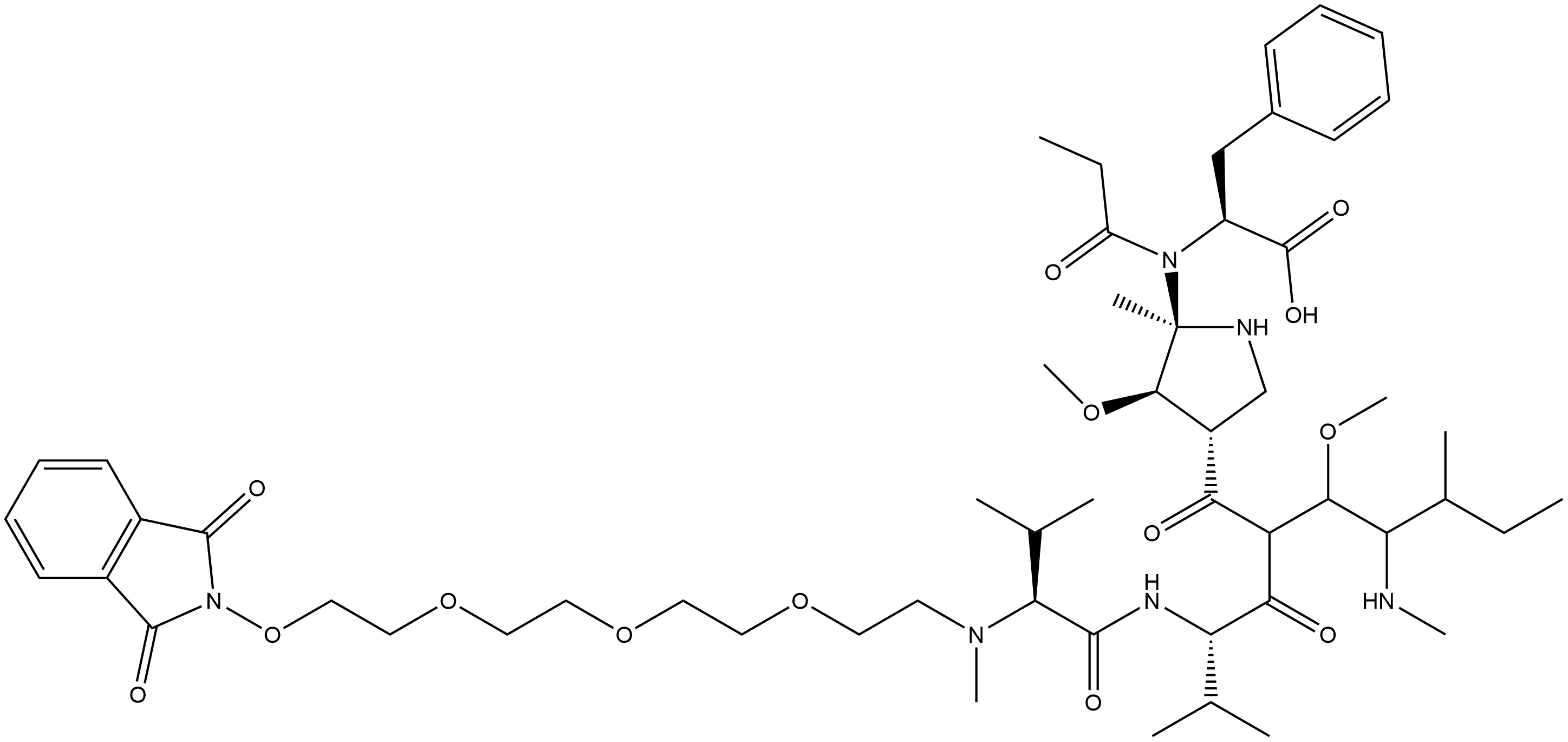
- CAS-Nr.
- 1415246-72-8
- Englisch Name:
- L-Phenylalanine, N-[2-[2-[2-[2-[(1,3-dihydro-1,3-dioxo-2H-isoindol-2-yl)oxy]ethoxy]ethoxy]ethoxy]ethyl]-N-methyl-L-valyl-L-valyl-(3R,4S,5S)-3-methoxy-5-methyl-4-(methylamino)heptanoyl-(αR,βR,2S)-β-methoxy-α-methyl-2-pyrrolidinepropanoyl-
- Synonyma:
- ((2R,3R)-3-((S)-1-((3R,4S,5S)-4-((S)-2-((S)-14-((1,3-dioxoisoindolin-2-yl)oxy)-2-isopropyl-3-methyl-6,9,12-trioxa-3-azatetradecanamido)-N,3-dimethylbutanamido)-3-methoxy-5-methylheptanoyl)pyrrolidin-2;L-Phenylalanine, N-[2-[2-[2-[2-[(1,3-dihydro-1,3-dioxo-2H-isoindol-2-yl)oxy]ethoxy]ethoxy]ethoxy]ethyl]-N-methyl-L-valyl-L-valyl-(3R,4S,5S)-3-methoxy-5-methyl-4-(methylamino)heptanoyl-(αR,βR,2S)-β-methoxy-α-methyl-2-pyrrolidinepropanoyl-
- CBNumber:
- CB512241917
- Summenformel:
- C55H84N6O14
- Molgewicht:
- 1053.29
- MOL-Datei:
- 1415246-72-8.mol
|