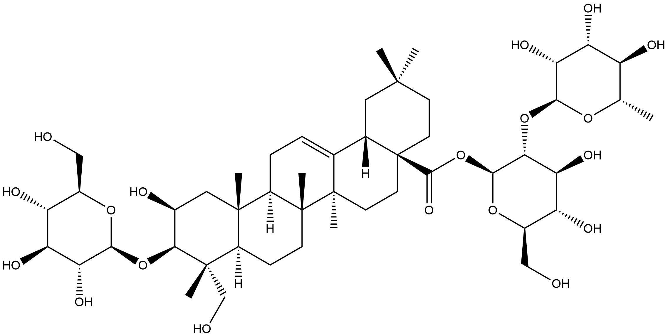
Polygalasaponin II

Polygalasaponin II Struktur
162857-62-7
CAS-Nr.
162857-62-7
Englisch Name:
Polygalasaponin II
Synonyma:
Polygalasaponin II;Olean-12-en-28-oic acid, 3-(β-D-glucopyranosyloxy)-2,23-dihydroxy-, 2-O-(6-deoxy-α-L-mannopyranosyl)-β-D-glucopyranosyl ester, (2β,3β,4α)-
CBNumber:
CB87244120
Summenformel:
C48H78O19
Molgewicht:
959.12
MOL-Datei:
162857-62-7.mol

Polygalasaponin II Eigenschaften

Siedepunkt:
1024.9±65.0 °C(Predicted)
Dichte
1.44±0.1 g/cm3(Predicted)
pka
12.62±0.70(Predicted)

Sicherheit

Polygalasaponin II Chemische Eigenschaften,Einsatz,Produktion Methoden

Polygalasaponin II Upstream-Materialien And Downstream Produkte

Upstream-Materialien

Downstream Produkte


Polygalasaponin II Anbieter Lieferant Produzent Hersteller Vertrieb Händler.

Global( 22)Lieferanten
Firmenname Telefon E-Mail Land Produktkatalog Edge Rate
Chengdu Biopurify Phytochemicals Ltd.
+86-28-82633860; +8618080483897
sales@biopurify.com China 3751 58
Wuhan ChemNorm Biotech Co.,Ltd.
+86-27-8439 4403 18971486879
sales@chemnorm.com CHINA 2935 58
ShenZhen Trendseen Biological Technology Co.,Ltd.
13417589054
trendseenbio@gmail.com China 11681 58
Mensura Group Limited
18780014153
1058503172@qq.com China 2900 58
Sichuan Wei Keqi Biological Technology Co., Ltd. 028-81700200 18116577057
3003855609@qq.com China 7778 56
Wuhan ChemFaces Biochemical Co., Ltd. 18607101326 15172504745
aileen@chemfaces.com China 6905 55
Chengdu Push Bio-Technology Co., Ltd. 028-028-85370565-229-229 18080489829
3004654993@qq.com China 8270 60
Nanjing Digger Medical Technology Co. Ltd. 025-025-51191215 18013836722
2399235533@qq.com China 4933 58
Chengdu PFID reference Technology Co., Ltd 028-82610909 15882229804
pufeide@foxmail.com China 2335 58
Wuhan ChemNorm co., LTD. 18971486879
279414929@qq.com CHINA 2925 58

  • Polygalasaponin II
  • Olean-12-en-28-oic acid, 3-(β-D-glucopyranosyloxy)-2,23-dihydroxy-, 2-O-(6-deoxy-α-L-mannopyranosyl)-β-D-glucopyranosyl ester, (2β,3β,4α)-
  • 162857-62-7
Copyright 2019 © ChemicalBook. All rights reserved