Epi-sarsasapogenin

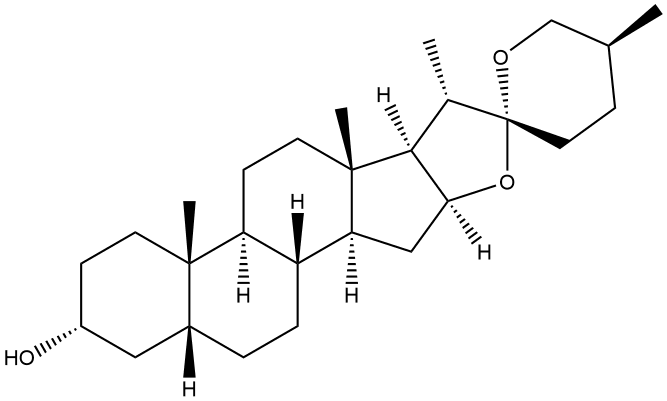
Epi-sarsasapogenin Struktur
470-03-1
CAS-Nr.
470-03-1
Englisch Name:
Epi-sarsasapogenin
Synonyma:
Epi-sarsasapogenin;3-Episarsasapogenin;Spirostan-3-ol, (3α,5β,25S)-;(3alpha,5beta,25S)-Spirostan-3-ol;Spirostan-3-ol, (3alpha,5beta,25S)-
CBNumber:
CB91470333
Summenformel:
C27H44O3
Molgewicht:
416.64
MOL-Datei:
470-03-1.mol

Epi-sarsasapogenin Eigenschaften

Schmelzpunkt:
204-206 °C
Siedepunkt:
516.6±20.0 °C(Predicted)
Dichte
1.11±0.1 g/cm3(Predicted)
pka
15.14±0.70(Predicted)

Sicherheit

Epi-sarsasapogenin Chemische Eigenschaften,Einsatz,Produktion Methoden

Epi-sarsasapogenin Upstream-Materialien And Downstream Produkte

Upstream-Materialien

Downstream Produkte


Epi-sarsasapogenin Anbieter Lieferant Produzent Hersteller Vertrieb Händler.

Global( 4)Lieferanten
Firmenname Telefon E-Mail Land Produktkatalog Edge Rate
Shaanxi Dideu Medichem Co. Ltd
+86-29-81139210 +86-18192627656
1059@dideu.com China 3588 58
ATK CHEMICAL COMPANY LIMITED
+undefined-21-51877795
ivan@atkchemical.com China 33024 60
UHN Shanghai Research & Development Co., Ltd. 021-58958002 18930822973
sales@uhnshanghai.com China 998 58
Beijing Stronger Science Co., Ltd. 0531-88924771 15614660963
elsa.hang@strongerscience.com China 10623 58

470-03-1()Verwandte Suche:


  • (3alpha,5beta,25S)-Spirostan-3-ol
  • 3-Episarsasapogenin
  • Epi-sarsasapogenin
  • Spirostan-3-ol, (3alpha,5beta,25S)-
  • Spirostan-3-ol, (3α,5β,25S)-
  • 470-03-1
Copyright 2019 © ChemicalBook. All rights reserved