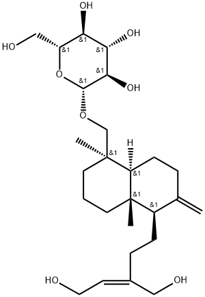
ent-Labda-8(17),13Z-diene- 15,16,19-triol 19-O-glucoside

ent-Labda-8(17),13Z-diene-
15,16,19-triol 19-O-glucoside Struktur
1245636-01-4
CAS-Nr.
1245636-01-4
Englisch Name:
ent-Labda-8(17),13Z-diene- 15,16,19-triol 19-O-glucoside
Synonyma:
ENT-LABDA-8(17),13Z-DIENE-15,16;ent-Labda-8(17),13Z-diene- 15,16,19-triol 19-O-glucoside;19-O-β-D-glucopyranosyl-ent-labda-8(17),13-dien-15,16,19-triol;β-D-Glucopyranoside, [(1R,4aS,5R,8aS)-decahydro-5-[(3Z)-5-hydroxy-3-(hydroxymethyl)-3-penten-1-yl]-1,4a-dimethyl-6-methylene-1-naphthalenyl]methyl
CBNumber:
CB92654611
Summenformel:
C26H44O8
Molgewicht:
484.63
MOL-Datei:
1245636-01-4.mol

ent-Labda-8(17),13Z-diene- 15,16,19-triol 19-O-glucoside Eigenschaften

Siedepunkt:
661.5±55.0 °C(Predicted)
Dichte
1.25±0.1 g/cm3(Predicted)
pka
12.93±0.70(Predicted)

Sicherheit

ent-Labda-8(17),13Z-diene- 15,16,19-triol 19-O-glucoside Chemische Eigenschaften,Einsatz,Produktion Methoden

ent-Labda-8(17),13Z-diene- 15,16,19-triol 19-O-glucoside Upstream-Materialien And Downstream Produkte

Upstream-Materialien

Downstream Produkte


ent-Labda-8(17),13Z-diene- 15,16,19-triol 19-O-glucoside Anbieter Lieferant Produzent Hersteller Vertrieb Händler.

Global( 35)Lieferanten
Firmenname Telefon E-Mail Land Produktkatalog Edge Rate
BOC Sciences
+1-631-485-4226
inquiry@bocsci.com United States 19552 58
Labnetwork lnc.
+86-27-50766799 +8618062016861
contact@labnetwork.com China 19987 58
TargetMol Chemicals Inc.
+1-781-999-5354;
support@targetmol.com United States 39031 58
BioBioPha Co., Ltd. 0871-65217109 13211707573;
y.liu@mail.biobiopha.com China 5653 65
Sichuan Wei Keqi Biological Technology Co., Ltd. 028-81700200 18116577057
3003855609@qq.com China 7781 56
Wuxi Zhongkun Biochemical Technology Co., Ltd. 0510-85629785 18013409632
sales@reading-chemicals.com China 15178 58
Shanghai Yongye Biotechnology Co., Ltd. 86-021-61559134 15921386130
3423497944@qq.com China 8144 55
ALB Technology Limited 702-983-3769
sales@albtechnology.com United States 2993 55
Wuhan ChemFaces Biochemical Co., Ltd. 18607101326 15172504745
aileen@chemfaces.com China 6905 55
EMMX Biotechnology LLC 888-539-0666
info@emmx.com United States 8447 60

1245636-01-4()Verwandte Suche:


  • 19-O-β-D-glucopyranosyl-ent-labda-8(17),13-dien-15,16,19-triol
  • ent-Labda-8(17),13Z-diene- 15,16,19-triol 19-O-glucoside
  • ENT-LABDA-8(17),13Z-DIENE-15,16
  • β-D-Glucopyranoside, [(1R,4aS,5R,8aS)-decahydro-5-[(3Z)-5-hydroxy-3-(hydroxymethyl)-3-penten-1-yl]-1,4a-dimethyl-6-methylene-1-naphthalenyl]methyl
  • 1245636-01-4
Copyright 2019 © ChemicalBook. All rights reserved