进入21世纪,随着蛋白质组学的研究深入,对多肽合成的要求越来越高。合成肽序越来越长,而且已经不局限于氨基酸的偶联,很多都已集中在多肽标记和修饰方法以及蛋白结构与功能模拟多肽的合成或蛋白合成。这就对多肽合成技术提出了更高的要求。
多肽合成技术发展介绍
多肽化学已经走过一百多年的光辉历程,1902年,Emil Fischer首先开始关注多肽合成,由于当时多肽合成方面的知识太少,进展也相当缓慢。当时合成采用了苯甲酰,乙酰保护,脱去相当困难,而且容易导致肽链断裂。直到1932年,Max Bergmann等人开始使用苄氧羰基(Z)来保护α-氨基,该保护基可以在催化氢化或氢溴酸的条件下定量脱除,多肽合成才开始有了一定的发展。到了20世纪50年代,随着越来越多的生物活性多肽的发现,大大推动了有机化学合成以及保护基的研究,因此这一阶段的研究成果也非常丰富,人们合成了大量生物活性多肽,包括催产素,胰岛素等。同时,在多肽合成方法以及氨基酸保护基上面也取得了不少成绩,这为后来固相合成方法的出现也提供了实验和理论基础。也是在这个阶段,Fred Sanger发明了氨基酸序列测定方法,并为此获得了1958年的Nobel化学奖。后来他还发明了DNA序列检测方法,并于1980年再次获得的Nobel化学奖,成为目前为止唯一两获Nobel化学奖的科学家。1963年,Merrifield提出了固相多肽合成方法(SPPS),这个在多肽化学上具有里程碑意义的合成方法,一出来,就由于其合成方便、迅速,现已成为多肽合成的首选方法,而且也带来有机合成上的一次革命,并成为一支独立的学科—固相有机合成(SPOS)。当然,Merrifield也因此获得了1984年的Nobel化学奖。也正是Merrifield的反复筛选,最终摒弃了苄氧羰基(Z)在固相上的使用,首先将叔丁氧羰基(Boc)用于保护α-氨基并在固相多肽合成上使用,其可以在酸性条件下定量的脱除,反应也非常迅速,在30min就可以反应完全。由于叔丁氧羰基(Boc)方法中,氨基酸侧链保护集团大多基于苄基(Bzl),因此也称为Boc-Bzl策略。同时,Merrifield在20世纪60年代末发明了台全自动多肽合成仪,并首次合成生物蛋白酶,核糖核酸酶(124个氨基酸)。随后的多肽化学研究主要集中于固相合成树脂,多肽缩合试剂,氨基酸保护基的研究。1972年,Lou Carpino首先将9-芴甲氧羰基(Fmoc)用于保护α-氨基,其在碱性条件下可以迅速脱除,10min就可以反应完全。由于其反应条件温和,迅速得到广泛使用,到了20世纪80年代取代了叔丁氧羰基(Boc),成为了固相多肽合成中的首选合成方法。该方法中氨基酸的侧链大多基于叔丁基(tBu),因此也成为Fmoc-tBu策略。同时,在多肽合成树脂,缩合试剂以及氨基酸保护,包括合成环肽的氨基酸正交保护上也取得了丰硕的成果。
进入21世纪,随着蛋白质组学的研究深入,对多肽合成的要求越来越高。合成肽序越来越长,而且已经不局限于氨基酸的偶联,很多都已集中在多肽标记和修饰方法以及蛋白结构与功能模拟多肽的合成或蛋白合成。这就对多肽合成技术提出了更高的要求。
多肽合成方法的分类
多肽合成方法众多,但按大类份主要为化学合成和生物合成两条路径。
1、化学合成
化学合成主要是通过氨基酸脱水缩合反应来实现。在反应过程中,将原料中不需要参与反应的氨基酸保护基团临时保护起来,从而实现合成的定向进行。化学合成又分为固相和液相合成,主要区别在于是否使用固相载体树脂。
液相合成:液相合成有两种策略,逐步合成和片段合成。逐步合成简单迅速,适合大部分多肽合成,而片段合成有利于更大的多肽(含有超过10个氨基酸)。总体来说,液相方法由于污染大,反应研发较为复杂等原因已被固相合成方法所替代。目前,由于其规模大,单位成本较低等原因仍在10个氨基酸以下的多肽合成中有较广泛的使用。

图1.液相合成
固相合成:固相多肽合成的原理是将氨基酸的C末端固定在不溶性树脂上,然后依次进行缩合反应、延长肽链。固相合成法可以细分为Fmoc法和Boc法,。相比之下,Fmoc方法具有反应条件温和、反应操作简单、易于自动化等优势。已成为目前多肽合成的首选。但固相合成仍存在反应效率相对较低、规模化难度高、成本偏高等问题。

图2.固相合成
在两种传统方法基础上,多肽合成技术又逐步衍生出羧内酸苷法(NCA)、组合化学法、自然偶联法等。
NCA法:氨基酸的羧内酸苷法是一种氨基酸衍生物。NCA法基于阴离子开环聚合原理,可通过碱类等引发反应。NCA法反应:在碱性条件下,氨基酸阴离子进攻NCA形成氨基甲酸根离子,酸化时该离子失去二氧化碳形成二肽,该二肽又在碱性条件下形成阴离子进攻其他的NCA,如此反复进行下去。此方法用于多肽的重磅产品格拉替雷的合成。
组合化学法:该方法是在固相多肽合成的基础上提出来的,即氨基酸的构建单元通过组合的方式连接,合成出含有大量化合物的库,从中筛选出理化性质或者药理活性一致的化合物。组合化学法在发现药物先导物方面有极大优势。
液相分段合成法:该方法时基于多肽片段能够在溶液中化学选择性的自发连接合成长多肽的特点。常用的连接技术包括天然化学连接(NCL)、光敏感辅助基连接、施陶丁格连接和正交化学连接等。
2、生物合成
生物合成主要包括酶解法、基因工程法、发酵法和酶催化法。
酶解法:利用生物酶降解大分子动物或植物蛋白,获得小分子肽。但该方法很难实现工业化,原因在于产量低、污染加大、产品质量不稳定等。
基因工程法:该方法基于DNA重组技术,通过DNA序列来控制多肽序列的生产。该方法的优势是定点性强,生产成本低、安全环保等。该方法同样面临研发与生产设备投入大、研发周期长、无法表达非天然氨基酸等缺陷。
发酵法:发酵法是利用微生物代谢获得多肽。特点是成本低,但目前为止,还少有能够产业化通过特定微生物发酵获得特定多肽的案例。但发酵方法可以说是生物合成方法的基础,无论是基因工程法还是合成生物学,在产业化生产时均有赖于发酵法的应用。发酵法未来的应用将非常广泛。

图3.发酵法
酶催化法:酶催化具有活性高、专一性强的特点,十分适合多肽序列的合成。随着今年来合成生物学技术的发展,对酶结构改造技术的成熟及构效关系的逐步了解。对于酶的应用也越来越得到重视。目前,已有谷胱甘肽、肌肽等产品能够应用酶催化方法进行产业化生产。酶催化反应具有绿色环保、产业化成本低廉等优势,但同样存在研发难度大、周期长等缺陷。
多肽合成新技术介绍
经过多年发展,多肽合成的产业化技术已经逐步成熟。5个氨基酸以下适用于液相合成,5-40个氨基酸选用固相合成更合适,40个氨基酸以上采用生物合成方法更佳已逐步成为一种共识。通过传统的合成方法,目前已经能够比较容易的规模化部分结构较为简单的多肽产品。但不得不承认,目前的多肽合成方法还远不能算是完善,每种不同方法均还存在不同程度上的缺陷。本文将着重介绍部分具有产业化前景的多肽合成新方法。
1、天然化学连接(NCL)
天然化学连接或NCL是化学连接领域的重要扩展,化学连接领域是构建由两个或多个未保护的肽段组装而成的大多肽的概念。特别是,NCL是用于合成天然骨架蛋白或中等大小修饰蛋白(即小于200 AA的小蛋白)的最有效的连接方法。天然化学连接使用非保护的多肽片段,不需要酶及化学偶联试剂的活化,通常在水溶液中就可完成的多肽合成反应。
1953年,西奥多·威兰德(Theodor Wieland)和他的同事发现了缬氨酸-硫酯与半胱氨酸氨基酸在水性缓冲液中的反应可产生二肽缬氨酸-半胱氨酸的化学基础。反应通过含有半胱氨酸残基硫的硫酯进行。Wieland的工作导致了一种“活性酯”方法,该方法用于在有机溶剂中的常规溶液合成中制备受保护的肽段。
在1990年代,Scripps研究所的Stephen Kent及其同事独立开发了“天然化学连接”,这是种连接大的未保护肽片段的实用方法。
最早的NCL方法的局限性是它固有地依赖在连接点具有半胱氨酸残基。半胱氨酸相对不常见,仅占蛋白质所有残基的1.7%。因此方法的应用受到了极大的限制。随后,众多研究者在NCL方法的基础上进行深入研究,意图扩展应用领域。这类连接反应一般对原料的N端和C端间的化学结构有特定要求,由特定的N端和C端间的化学选择性反应得到连接产物。
1.1、通过酯交换反应进行连接
这是由C端为硫酯的多肽片段与N端含有自由巯基或硒基的片段反应,在连接微店形成酰胺键,得到与天然多肽和蛋白质一致的骨架。该连接反应至少经过两个步骤,即硫酯交换捕获和酰基迁移反应,在连接位点可以生成的氨基酸残基。
1.1.1 生成Cys的连接
Kent的小组在1994年首先发展了连接位点得到Cys的多肽连接方法,他们将方法称之为“天然化学连接”。它是由C端为硫酯的多肽片段与N端为Cys的片段在pH值7.6的磷酸盐缓冲液中反应得到的。首先Cys的侧链巯基与硫酯发生酯交换反应生成新的硫酯中间体,该中间体迅速通过五元环过渡态进行分子内的S→N酰基迁移反应得到以Cys残基连接的多肽终产物。这是目前最简单和实用的多肽片段连接方法。Kent等人利用该方法首先制备了含有72个氨基酸残基的人白介素L-8蛋白。

图4.Cys的连接
1.1.2 生成Met的连接
利用N端为高半胱氨酸(Hcy)的多肽和肽硫酯交换,经过六元环过渡态S→N酰基迁移反应后得到位点为Hcy的产物,再用甲基化试剂如对硝基苯磺酸甲酯修饰可以再连接位点生产Met。Tam等利用该方法合成了含有34个残基的副甲状腺激素。
1.1.3 生成Gly的连接
Low等人在N端氨基上引入1-氨基-2-巯基结构的辅助基团,进行硫酯交换并发生S→N酰基迁移反应后,用酸脱除辅助基团,即可获得连接位点为Gly残基的产物。他们用该方法合成了含有106个氨基酸残基的细胞色素b562。
上述连接反应中,如果原料序列中间包括Cys残基,其侧链巯基虽然能够发生硫酯交换反应形成硫酯中间体,但这些中间体经逆反应仍可转化为原料,只有N端Cys/Sec生成的中间体能够发生酰基重排反应得到稳定的酰胺键连接的产物。
1.2 通过亚胺进行连接
这是由肽醛与另一肽段的N端氨基进行连接,这类反应形成的连接点不一定是天然氨基酸残基。一类反应连接处停止在亚胺结构,如生成肟和腙;另一类由亚胺可以进一步反应得到杂环,如连接点生成噻唑烷和四氢-β-咔啉环;还有生成噻唑烷或噁唑烷之后,酰基发生迁移得到酰胺产物,如生成类脯氨酸的连接。
1.2.1 生成Ser/Thr的连接
香港大学李学臣教授发展了基于N端丝氨酸/苏氨酸残基的新型多肽连接反应(缩写为STL)。该反应是重要的基于N端非修饰氨基酸残基且于位点处形成天然肽键的多肽连接方法之一。由于自然界中Ser/Thr所占比例远大于Cys,因此此方法拓展了NCL的应用范围。其连接反应是利用C端水杨醛酯与N端Ser/Thr发生偶联反应。

图5.Ser/Thr的连接
1.2.2 生成类脯氨酸的连接
Tam等人发展类脯氨酸连接反应是由C端肽乙醛酯与N端为Cys、Ser、Thr的肽段相连接。首先乙醛酯与N端氨基形成亚胺,紧接着巯基或羟基对亚胺进行Michael加成得到噻唑烷或噁唑烷,最后酰基经过五元环过渡态发生S/O→N迁移反应生成更为稳定的以酰胺键存在的硫杂类脯氨酸(SPro)或氧杂类脯氨酸(OPro)产物。在该连接中,侧链氨基即使生成亚胺,也会发生逆反应回到原料,因而不参与竞争。
1.2.3 生成噻唑烷的连接
若原料肽醛片段C端为乙醛酯以外的醛时,在N端Cys连接后,因不能经过五元环过渡态发生酰基重排反应,反应的连接位点停留在噻唑烷结构。

图6. 噻唑烷的连接
1.2.4 生成四氢-β-咔啉的连接
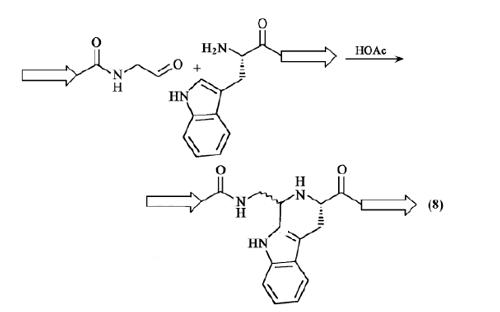
Pictet-Spengler 反应是由酸催化的醛酮与色氨酸或色氨缩合生成杂环四氢-β-咔啉衍生物的反应,被广泛用于异喹啉及吲哚类似物的合成。Li等人应用该反应, 用肽醛与N端为色氨酸(Trp ) 的多肽片段在冰乙酸中反应24h, 几乎可以定量地得到长度为17 和18 个残基的连接产物, 连接位点为四氢-β-咔啉环,反应中新生成的手性碳原子以两种构型存在,比例接近1:1。

图7.四氢-β-咔啉的连接
1.3 通过硫醚和硫酯进行连接
巯基被烷基化生成硫醚的反应可以用来选择性地修饰蛋白质。以硫醚连接多肽时反应在Cys 侧链巯基与卤代物衍生的多肽之间进行, 通常可在固相合成多肽的N 端偶联氯乙酸或溴乙酸得到卤代多肽, 多肽链中所有的巯基均可以反应。生成硫醚的反应速率随pH 值增加而增加, 但在碱性条件下巯基易氧化形成二硫键, 同时卤代物的水解速度也变快, 因此反应一般在pH7. 5-8.0之间进行, 并加入TCEP 抑制二硫键的形成。Robey、Lu及Beekman 等人分别利用生成硫醚的连接方法制备了多肽、多肽树状化合物及多肽抗原。
2、特色载体
自固相多肽合成方法发明后,由于其操作简便、相对绿色环保、易于自动化等优势迅速推广开来,成为目前多肽合成最为主流的方案。但由于固相采用的是不溶性载体,整个反应是非均相反应,其又不可避免的存在反应效率较低,规模化困难等问题。许多多肽产品采用固相合成方法的单批规模甚至没有到达公斤级。因此,许多研究者都在寻找更为合适的特色载体,能够在保持固相优势的基础上结合液相的优势。实现更绿色、更简便、更易规模化的多肽合成方法。
2.1小分子载体
近日,西北工业大学钦传光教授课题组发展了新型有机磷小分子作为绿色多肽合成载体(GPS),成功地实现了药物分子普卡那肽(Plecanatide,商品名称:Trulance)的液相全合成。该方法采用了无树脂合成策略来合成长链双环的普卡那肽,并验证了通过调控和优化DDK衍生物,在有机磷小分子载体上完全可以以无树脂的方式合成目标产物。值得一提的是,在不需色谱分离的情况下,利用载体辅助沉淀(SAP)技术,省略了多肽合成过程中各中间体纯化的手续,显著地简化了繁琐的多肽合成步骤,提高了反应的可行性和合成效率,很可观地避免了过量使用溶剂和原材料。

图8.小分子载体1

图9.小分子载体2
2.2 聚乙二醇聚合物
Han等用MeO-PEG-OH作为可溶性载体合成了含α-氮杂氨基酸的类肽,总收率达到56.7%。Bayer用PEG10000支载合成了五肽,每一步产率大于99%,无外消旋体产生,光学纯度达到100%,反应完成后,可通过沉淀和结晶分离纯化产物,简单、快捷。
2.3 离子液体
离子液体( Ionic Liquids,ILs) 是完全由阴阳离子组成的室温下为液态的盐,阴阳离子可以自由振动、转动甚至平动,整个有序的晶体结构遭到破坏,导致室温下呈现液态。离子液体为绿色溶剂、可循环使用,具有分子溶剂不可比拟的独特性能,对大量无机和有机物质包括强极性氨基酸表现出良好的溶解能力,具有溶剂和催化剂的双重功能,可作为多肽反应介质或活性载体。通过改变阴、阳离子结构组成或对称性等途径可以设计不同性质的离子液体,这种可设计性进一步拓宽了其应用范围。离子液体甚至可以改变反应机理,诱导出新的催化活性,提高反应的转化率和选择性。目前,离子液体在多肽化学方面的研究 引起化学家们的广泛关注。
2.3.1 固相支载型离子液体的肽合成
2017年,Upadhyayula等研究将离子液体嫁接到固体树脂上,发展聚苯乙烯树脂支载型离子液体( PSILs)。为进一步提高聚苯乙烯树脂负载量,选取了基于二乙醇胺( DEA) 结构功能的离子液体,并采用含 1%二乙烯苯( DVB) 的 PS 树 脂,提高溶胀性能。通过氯甲基 PS( PS-Cl) 的取代反应,将二乙醇胺引入到PS 树脂,进一步转化成相应的功能化固相支载型离子液体。
利用得到PS支载型离子液体,分别合成了二肽( Phe-Leu-OH) 和五肽Leu-enkephalin( Tyr-Gly-Gly-Phe-Leu) 。收率与纯度指标都明显高于普通固相合成法,二肽产物最高收率98%,五肽产物最高纯度 96%。离子液体的两性特性有利于反应试剂在树脂表面更好地分散,这对提高反应效率起到至关重要的作用。另外,功能化离子液体的侧链上设计有多个自由羟基,可以满足2~3 倍物质的量的氨基酸负载,大幅提高了固相树脂负载量。此外,离子液体本身所提供的静电环境,对增长的肽链起到了很好的稳定作用,有助于获得更高产率和更高纯度的多肽产物。固相支载型离子液体充分结合了固相合成优势与离子液体功能,成倍增加了负载量,显著提高了溶胀性能,大幅改善了团聚现象,有效克服固相合成法的缺陷,在产物收率和产品纯度方面都明显优于一般固相法,为多肽合成提供了更有效方法。
2.3.2 肽的绿色合成
2013年,Plaquevent等报道了采用离子液体策略合成肽的新方法。该方法巧妙结合离子缩合试剂与离子液体功能,反应中产生的乙基咪唑三氟磺酸盐副产物为离子液体,充当反应溶剂,除了副产物二氧化碳外,实现了肽合成的零排放。该绿色合成法设计选用1,1-羰基二( 3-乙基咪唑)三氟甲磺酸盐(CBEIT)作为构建肽键的缩合剂,反应过程中释放产生的乙基咪唑三氟甲磺酸盐([H-EIM][TfO]) 具有较低熔点和合适黏度,是理想的离子液体。该离子液体室温下具有良好的流动性,因此,合成反应中无需添加任何溶剂,可借此实现无溶剂反应。

图10. 肽的绿色合成
3、酶催化反应
酶催化合成由于其具有反应条件温和、选择性高、绿色环保等优势被成为新一代的合成技术。目前,酶催化也开始逐步在多肽合成中开始应用,也出现了部分采用全酶催化方法合成的短肽的案例。而随着酶定向进化技术的发展,酶催化反应也必然在多肽合成领域有着更广泛的应用。
3.1、酶催化环肽的合成
酶催化的环肽合成是近年来兴起的一种新型环肽合成方法,该法具有反应条件温和、特异性强、合成效率高等优点,另外酶催化的环肽合成还可以在肽链中引入非天然氨基酸或非氨基酸结构,进而大大丰富了环肽结构。
3.1.1 分选酶Sortase A
分选酶A(Sortase A)是从金黄色葡萄球菌(Staphylococcus aureus)分离出来的一种转肽酶,能特异地识别肽C端的保守序列LPXTG(Leu-Pro-X-Thr-Gly;X代表任1种氨基酸),并从苏氨酸和甘氨酸之间使肽键断裂,形成酰基酶-底物复合物,N端带有多聚甘氨酸的亲核基团进攻复合物,最终形成连接产物。该酶基因工程表达产率较高(232 mg/L),易于获取,已广泛地用于蛋白连接或蛋白标记、细胞表面的蛋白标记和蛋白环化。

图11. 分选酶Sortase A
3.1.2 肽连接酶Butelase-1
蝶豆兰花肽连接酶-1(Bunga telang plus ligase,Butelase-1)是一种天冬酰胺内切蛋白酶(asparaginylendoproteases,AEP),参与热带药用植物蝶豆中大环肽合成。2014年由TAM课题组首次从碟豆中分离出来,能识别肽链C端三肽序列D/N-HV,并从组氨酸前面进行肽键的断裂,释放HV二肽序列并形成酰基酶底物复合物,随后的N端氨基酸作为亲核基团进攻复合物重新形成肽键,产物中连接位点只留下D/N印迹(分选酶A为LPXTG)。蝶豆兰花肽连接酶-1对底物N端第1,2位氨基酸有一定要求,第1位氨基酸可以为除Pro、Asp和Glu以外的任何天然氨基酸,第2位为疏水性氨基酸Ile、Leu、Val以及Cys。

图12.肽连接酶Butelase-1
引用资料
1. 麻远、赵玉芬,多肽片段连接方法及肽硫酯和肽醛的合成,化学进展,2003,15(5):393-400
2. Haidi Li , Jie Chao, Zixin Zhang, Guang Tian , Jun Li , Ninghui Chang, Chuanguang Qin,Liquid-Phase Total Synthesis of Plecanatide Aided by Diphenylphosphinyloxyl Diphenyl Ketone (DDK) Derivatives,Org Lett,22(9),3323-3328
3. 张丽,可溶性载体在有机合成中的应用研究,湖北大学,2010
4. 凌青,张传主,刘玉强,郭彩宏,李召良,离子液体在多肽化学中的研究进展,化学试剂,2018,40(9),841-846
5. 程孝中,周志昉,吴志猛,酶法合成环肽研究进展,食品与发酵工业,2019,45(1):229-235
6. Timo Nuijens, Ana Toplak, Peter J. L. M Quaedflieg, Jeroen Drenth, Bian Wu, and Dick B. Janssen, Engineering a Diverse Ligase Toolbox for Peptide Segment Condensation,Adv. Synth. Catal. 2016, 358(24): 4041-4048.
7. Marcel Schmidt,Ana Toplak,Henrieette J. Rozeboom,Hein J. Wijma,Peter J. L. M. Quaedflieg,Jan H. van Maarseveen,Dick B. Janssen,Timo Nuijens,Design of a substrate-tailored peptiligase variant for the efficient synthesis of thymosin-α1,Org. Biomol. Chem., 2018,16, 609-618