二肉豆蔻酰磷脂酰胆碱(DMPC),英文名为(R)-(7-myristoyl-4-oxido-10-oxo-3,5,9-trioxa-4-phosphatricosyl)trimethylammonium 4-oxide,常温常压下为白色或者灰白色固体。二肉豆蔻酰磷脂酰胆碱(DMPC)属于膦酯类衍生物,稳定性较差,一般需要低温保存(-20度低温),可用作生物化学与医药化学的中间体,可用于多肽类药物分子,维生素以及具有特定生物活性功能磷脂的合成。
合成方法

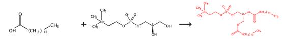
图1 二肉豆蔻酰磷脂酰胆碱(DMPC)的合成路线
往干燥的反应烧瓶中加入1-十四酰-2-羟基卵磷脂和相应的十四碳酸酐,最后加入4-二甲氨基吡啶和溶剂甲苯;得到的反应混合物在100度下搅拌反应若干个小时,通过TLC点板监测反应进度,等待反应结束后将反应体系冷却至室温。往反应混合物中加入乙酸乙酯和水萃取,分离出有机层并用无水硫酸钠干燥,过滤除去干燥剂并将滤液在减压真空下浓缩即可得到目标产物分子二肉豆蔻酰磷脂酰胆碱(DMPC)。[1]

图2 二肉豆蔻酰磷脂酰胆碱(DMPC)的合成路线
往干燥的反应烧瓶中加入肉豆蔻酸,甘油磷酰胆碱,1-乙基-(3-二甲基氨基丙基)碳酰二亚胺盐酸盐以及4-二甲氨基吡啶,最后往上述混合物中加入N,N-二甲基甲酰胺作为反应溶剂,所得的反应混合物在室温下搅拌反应若干个小时,通过TLC点板监测反应进度,等待反应结束后,向反应混合物中加入乙酸乙酯和水萃取,将两相分离,水层用乙酸乙酯萃取三次,然后合并所有的有机层。合并的有机层用水,盐水各洗涤一次,然后将有机层用无水硫酸钠干燥,过滤除去干燥剂并将滤液在减压真空下浓缩即可得到目标产物分子二肉豆蔻酰磷脂酰胆碱(DMPC)。[2]
用途
二肉豆蔻酰磷脂酰胆碱(DMPC)可用作生物化学与医药化学的中间体,可用于多肽类药物分子,维生素以及具有特定生物活性功能磷脂的合成。在有机合成转化中,二肉豆蔻酰磷脂酰胆碱(DMPC)中的羧酸酯基可以在碱性条件下进行水解反应得到酯基脱除的醇类产物,此外结构中的磷酸酯基也可以在氯化钙的作用下进行水解反应得到脱磷酸基团的衍生化产物。
参考文献
[1] Wang, Wei et al Faming Zhuanli Shenqing, 114478622, 13 May 2022
[2] Su, Cheng et al PCT Int. Appl., 2020177728, 10 Sep 2020