研究背景
作为17-α-羟孕酮衍生物,醋酸氯地孕酮(Chlormadinone Acetate,CMA)具有较强的孕激素活性,抗雌激素活性及较弱的糖皮质激素活性,无雄激素活性及抗盐皮质激素活性。该物质化学名称为17α-羟基-6-氯孕甾-4,6-二烯-3,20-二酮醋酸酯,性状一般为白色至微黄色结晶性粉末。其与炔雌醇(ethinylestradiol,EE)组成的复方口服避孕药在欧洲,拉美等国家广泛应用。除主要用于避孕外,醋酸氯地孕酮还兼具治疗痛经,雄激素过剩相关疾病(痤疮,脂溢性皮炎,女性型脱发,多毛症,良性前列腺增生)及改善经前或经期不适等非避孕益处[1]。

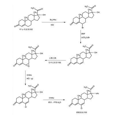
制备方法
醋酸氯地孕酮的制备以17-α-羟基黄体酮为原料,先将17-α-羟基黄体酮溶解于有机溶剂中,在酸催化下与溴素反应得上溴物,该上溴物在有机溶剂中与溴化锂,碳酸锂反应脱溴得到6-脱氢物;再将6-脱氢物溶解于有机溶剂中,与有机过氧酸反应得环氧物;然后将环氧物溶解于有机溶剂中,与氯化氢气体进行加成反应,并在强酸溶液中脱水得氯地孕酮;最后将氯地孕酮溶入有机溶剂中,在酸催化下与醋酸酐发生反应得醋酸氯地孕酮,HPLC含量99.0-99.5%,四步合成反应总收率80-82%。相对于传统合成方法,上述制备工艺操作简便,经济环保,合成总收率高,产品质量好,成本降低40-45%。此外,工艺中使用的溶剂可回收循环套用,十分利于工业化生产[2]。

有关研究
为了测定醋酸氯地孕酮的平衡溶解度及表观油水分配系数,为CA新剂型的体外评价进行处方前研究。研究人员采用高效液相色谱法测定CA在水及不同pH(1.2,2.0,3.0,4.5,5.5,6.8,7.4,8.0)介质及常用9种有机溶剂(包括甲醇,乙醇等)中的平衡溶解度;采用摇瓶法测定其在正辛醇与水及各pH介质组成的体系中的表观油水分配系数(P)。
结果发现:37℃时,醋酸氯地孕酮在水及9种pH值介质中的平衡溶解度依次为0.473,0.533,0.423,0.056,0.309,0.428,0.447,0.428,0.448μg·mL-1,在甲醇,乙醇等中的平衡溶解度为7320.61~344248.70μg·mL-1;醋酸氯地孕酮在水中的lgP值为4.05,不同pH条件下的lgP值差别不大(4.11~4.25)。故可得出结论:醋酸氯地孕酮不溶于水,易溶于有机溶剂,在弱酸环境下有一定程度的降解。而且,其lgP值较大,提示在制剂研究中需采用适当的增溶手段[3]。
参考文献
[1]林娜,黄婷,曾佳.醋酸氯地孕酮的临床应用进展[J].中华生殖与避孕杂志, 2018, 38(3):6.DOI:10.3760/cma.j.issn.2096-2916.2018.03.019.
[2]甘红星,左前进,胡爱国,等.醋酸氯地孕酮的制备方法:CN201711004433.4[P].
[3]黄婷,曾佳,曹云峰,等.醋酸氯地孕酮平衡溶解度及表观油水分配系数的测定[J].中国药房, 2012, 23(21):3.DOI:CNKI:SUN:ZGYA.0.2012-21-012.