酒石酸溴莫尼定新闻专题

酒石酸溴莫尼定的合成
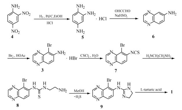
2,4-二硝基苯胺经还原反应得到1,2,4-三氨基苯,然后经环合、溴化、异硫氰化缩合和环合,得到溴莫尼定游离碱。最后再与L-酒石酸在丙酮中成盐得酒石酸溴莫尼定,总收率为35%。本法原料易得,便于生产。
2023/2/20 9:04:42
阅读量:1134

酒石酸溴莫尼定简介
酒石酸溴莫尼定(brmon idinc tartratc,1)﹐化学名为5-溴-N –(4,5-二氢-lH-咪唑-2-基)-6-喹喔啉胺酒石酸盐,是一种新型的o-肾上腺素能受体激动剂,由美国A llcrgan公司研制开发,1996年首次在美国上市﹐商品名为Alphagan。本品具有显著的降眼压作用·主要用于开角型青光眼的治疗。
2020/12/4 18:11:50
阅读量:3051