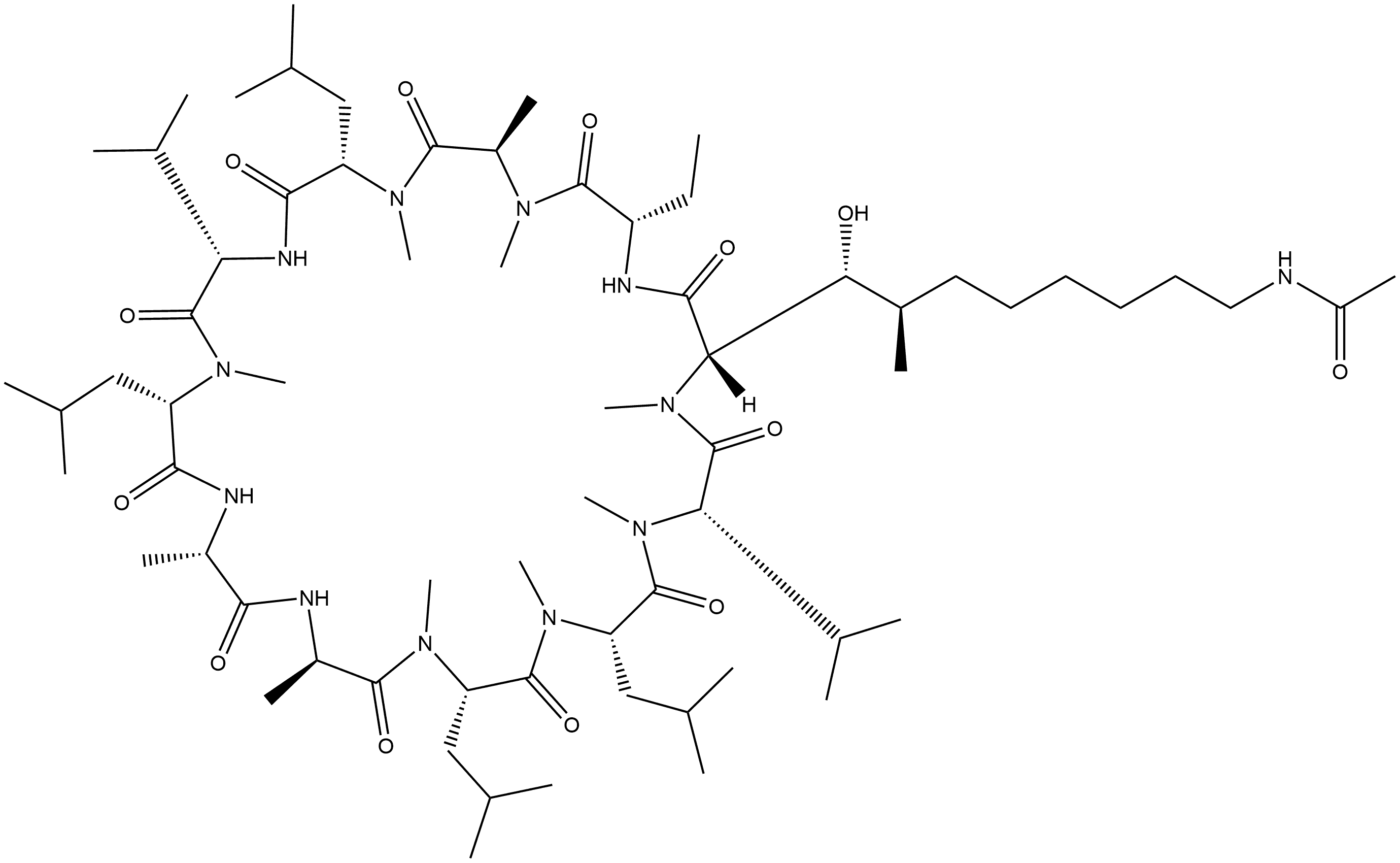
Cyclosporin A, 6-[(2S,3R,4R)-10-(acetylamino)-3-hydroxy-4-methyl-2-(methylamino)decanoic acid]-8-(N-methyl-D-alanine)-
| 1383420-08-3 Basic information More.. |
Product Name: | Cyclosporin A, 6-[(2S,3R,4R)-10-(acetylamino)-3-hydroxy-4-methyl-2-(methylamino)decanoic acid]-8-(N-methyl-D-alanine)- | Synonyms: | Cyclosporin A, 6-[(2S,3R,4R)-10-(acetylamino)-3-hydroxy-4-methyl-2-(methylamino)decanoic acid]-8-(N-methyl-D-alanine)-;Rencofilstat;CRV431 | CAS: | 1383420-08-3 | MF: | C67H122N12O13 | MW: | 1303.76 | EINECS: | | Mol File: | 1383420-08-3.mol |  |
|
1383420-08-3
Recommend Suppliers |
1
|
Tag:
1383420-08-3
|