Welcome back!
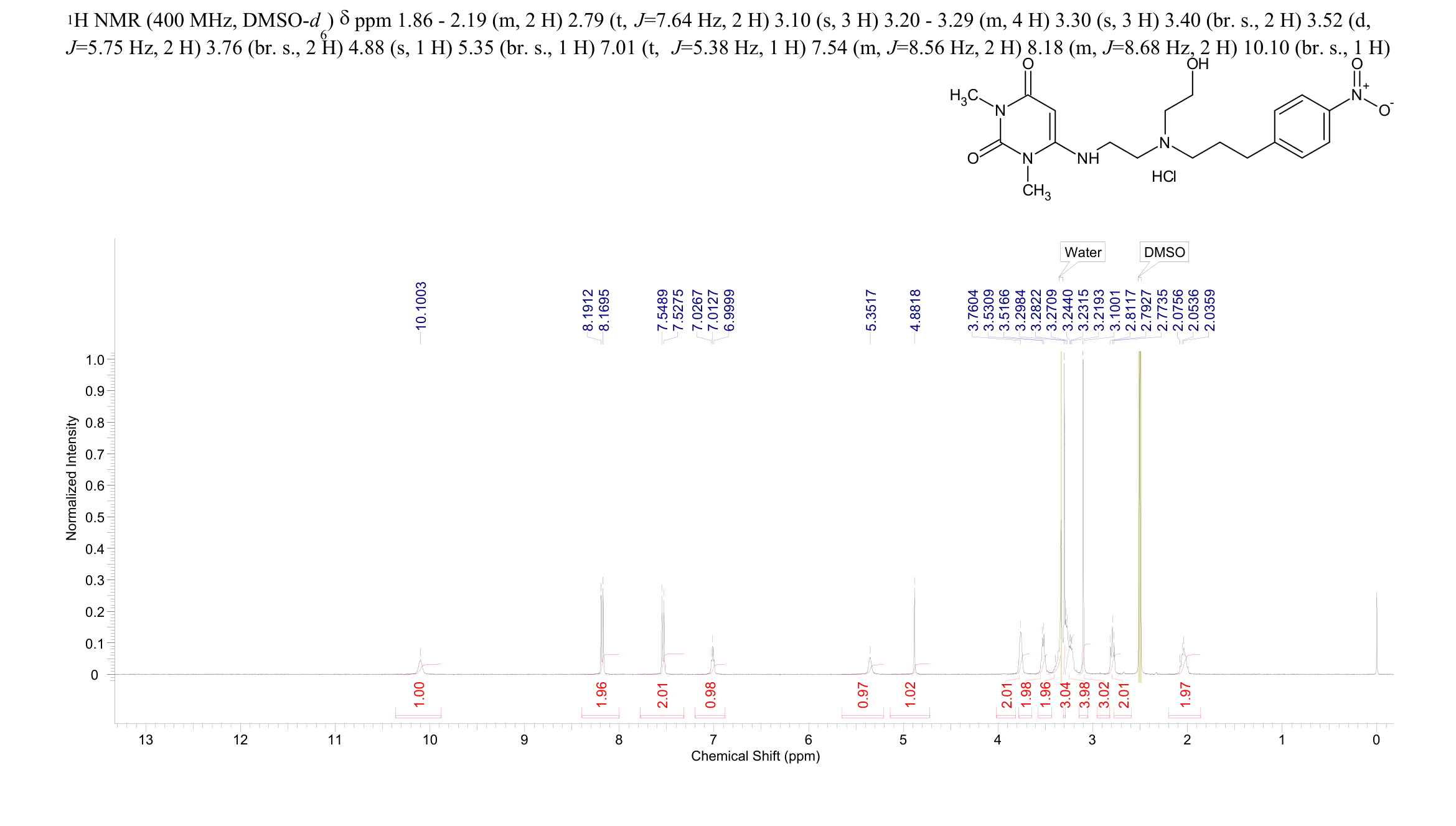
Product NameNifekalant hydrochloride
CAS130656-51-8
Molecular FormulaC19H28ClN5O5
Molecular Weight441.91
InChI
InChIKey
Smiles
1HNMR
More Suppliers
XIAMEN AMITY INDUSTRY AND TRADE CO., LTD.
Aladdin Scientific
Hefei TNJ Chemical Industry Co.,Ltd.
Dayang Chem (Hangzhou) Co.,Ltd.
Shaanxi Dideu Medichem Co. Ltd
HANGZHOU CLAP TECHNOLOGY CO.,LTD
Amadis Chemical Company Limited
career henan chemical co
CONIER CHEM AND PHARMA LIMITED
Alchem Pharmtech,Inc.
Nifekalant hydrochloride (130656-51-8) 1H NMR Atlas of Related Products