1-FLUORO-2,6-DICHLOROPYRIDINIUM TETRAFLUOROBORATE(140623-89-8) 1H NMR
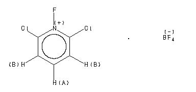
Molecular FormulaC5H3BCl2F5N
Molecular Weight253.79
InChIInChI=1S/C5H3Cl2FN.BF4/c6-4-2-1-3-5(7)9(4)8;2-1(3,4)5/h1-3H;/q+1;-1
InChIKey JVYBYXWHPIEUOT-UHFFFAOYSA-N
Smiles[B+3]([F-])([F-])([F-])[F-].F[N+]1=C(C=CC=C1Cl)Cl
-

Mass
MS-IW-7231
2,6-dichloro-1-fluoropyridinium tetrafluoroborate
C5H3BCl2F5N (Mass of molecular ion: 253)
Source Temperature: 190 °C
Sample Temperature: 230 °C
Direct, 75 eV
17.0 1.1
18.0 6.8
20.0 7.9
26.0 2.9
27.0 1.0
28.0 31.1
31.0 7.2
33.0 2.2
35.0 4.5
36.0 26.7
37.0 6.5
38.0 11.7
39.0 3.6
44.0 3.9
46.0 1.1
47.0 2.2
48.0 16.7
49.0 65.5
50.0 15.4
51.0 13.9
52.0 4.4
55.5 1.6
56.0 2.4
57.0 5.0
58.0 1.0
60.0 4.7
61.0 3.0
62.0 5.4
63.0 3.3
64.0 14.9
65.0 1.7
67.0 2.1
68.0 6.9
69.0 8.0
70.0 4.0
72.0 3.5
73.0 2.6
73.5 1.5
74.0 2.5
74.5 1.4
75.0 10.2
76.0 43.7
77.0 4.0
82.0 4.1
83.0 1.7
84.0 6.8
85.0 26.6
86.0 3.8
87.0 8.3
88.0 3.6
89.0 2.0
91.0 1.0
93.0 3.0
94.0 4.2
95.0 1.8
96.0 15.7
97.0 1.0
98.0 1.2
100.0 1.2
102.0 3.3
103.0 1.5
104.0 1.6
106.0 1.7
107.0 2.2
108.0 4.1
110.0 4.5
111.0 1.7
112.0 85.9
113.0 6.6
114.0 54.3
115.0 4.4
118.0 1.5
119.0 1.2
120.0 1.2
121.0 1.0
127.0 1.0
130.0 8.4
131.0 16.8
132.0 4.4
133.0 10.5
134.0 10.4
138.0 1.0
143.0 1.1
146.0 3.7
147.0 96.0
148.0 8.5
149.0 100.0
150.0 8.6
151.0 21.4
152.0 2.5
153.0 1.3
165.0 10.6
166.0 1.9
167.0 7.5
168.0 1.8
169.0 11.0
170.0 1.1
171.0 3.1
181.0 4.6
183.0 5.3
185.0 1.9
187.0 1.0