Welcome to chemicalbook!
+1 (818) 612-2111
RFQ
Try our best to find the right business for you.
Do not miss inquiry messages Please log in to view all inquiry messages.

Welcome back!

Back ChemicalBook Home>CAS DataBase List>78916-25-3More Spectrum> CHOLESTEROL ISOPROPYL CARBONATE(78916-25-3) 1H NMR

78916-25-3

CHOLESTEROL ISOPROPYL CARBONATE(78916-25-3) 1H NMR

Molecular FormulaC31H52O3

Molecular Weight472.74

InChIInChI=1/C31H52O3/c1-20(2)9-8-10-22(5)26-13-14-27-25-12-11-23-19-24(34-29(32)33-21(3)4)15-17-30(23,6)28(25)16-18-31(26,27)7/h11,20-22,24-28H,8-10,12-19H2,1-7H3/t22-,24+,25+,26-,27+,28+,30+,31-/s3

InChIKey DFGCTZUMTALIQV-ZPIQQWIFNA-N

Smiles[C@]12(CC=C3C[C@@H](OC(=O)OC(C)C)CC[C@]3(C)[C@@]1([H])CC[C@]1(C)[C@H](CC[C@@]21[H])[C@H](C)CCCC(C)C)[H] |&1:0,5,15,17,21,23,26,28,r|

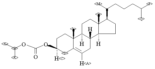
  • CHOLESTEROL ISOPROPYL CARBONATE(78916-25-3) <sup>1</sup>H NMR


        Assign.     Shift(ppm)
    A 5.393 B 4.864 C 4.461 D 2.40 K 1.295 L 1.007 M 0.915 P *1 0.867 Q *1 0.862 R 0.677
    Spectral Code: 1H NMR : 400 MHz in CDCl3

  • CHOLESTEROL ISOPROPYL CARBONATE(78916-25-3) <sup>1</sup>H NMR


           ppm   Int.  Assign.
    154.03 667 1 139.50 844 2 122.82 539 3 77.40 631 4 71.44 638 5 56.75 589 6 56.22 638 7 50.07 582 8 42.35 667 9 39.78 496 10 39.56 560 11 38.11 447 12 36.94 440 13 36.58 858 14 36.23 468 15 35.81 652 16 31.90 851 17 18 28.23 589 19 28.02 844 20 27.78 468 21 24.29 454 22 23.87 468 23 22.82 539 24 22.56 511 24 21.81 1000 25 21.09 426 26 19.27 411 27 18.74 447 28 11.88 418 29
    Spectral Code: 13C NMR : in CDCl3

  • CHOLESTEROL ISOPROPYL CARBONATE(78916-25-3) <sup>1</sup>H NMR

    Spectral Code: IR : KBr disc

  • CHOLESTEROL ISOPROPYL CARBONATE(78916-25-3) <sup>1</sup>H NMR

    Spectral Code: Raman : 4880 A,200 M,powder

CHOLESTEROL ISOPROPYL CARBONATE(78916-25-3) 1H NMR Atlas of Related Products

×