 
                    
                    
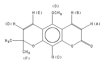
                        Xanthoxyletin(84-99-1) 1H NMR
                        
                        
                            
                                Molecular FormulaC15H14O4
                            
                            Molecular Weight258.27
  
                         
                        InChIInChI=1S/C15H14O4/c1-15(2)7-6-10-12(19-15)8-11-9(14(10)17-3)4-5-13(16)18-11/h4-8H,1-3H3
                        InChIKey JSJIIHRNDMLJGK-UHFFFAOYSA-N
                        SmilesC12=CC3OC(C)(C)C=CC=3C(OC)=C1C=CC(=O)O2
                        
                     
                 
                
                
                    
                    
                    
                        
                        
                        
                            
                                
                            
                            
                                
                                    
                                    - 
                                        
                                             
 
 
      Parameter     ppm  Hz
 D(A)         6.14
      D(B)         7.82
      D(C)         6.50
      D(D)         5.68
      D(E)         6.54
       J(A,B)          9.4
       J(A,C)          0.
       J(A,D)          0.
       J(A,E)          0.
       J(B,C)          0.5
       J(B,D)          0.
       J(B,E)          0.
       J(C,D)          0.
       J(C,E)          0.7
       J(D,E)          9.8
     
      D(F)         1.46
     
      D(G)         3.85
     
     LASSAK,E.V. & PINHEY,J.T. J.CHEM.SOC. C 1967, 2000
 Spectral Code: 1H NMR : parameter in CDCl3