产品名称:JNJ-42847922
CAS:1293281-49-8
分子式:C21H22FN7O
分子量: 407.44
InChI:
InChIKey:
Smiles:
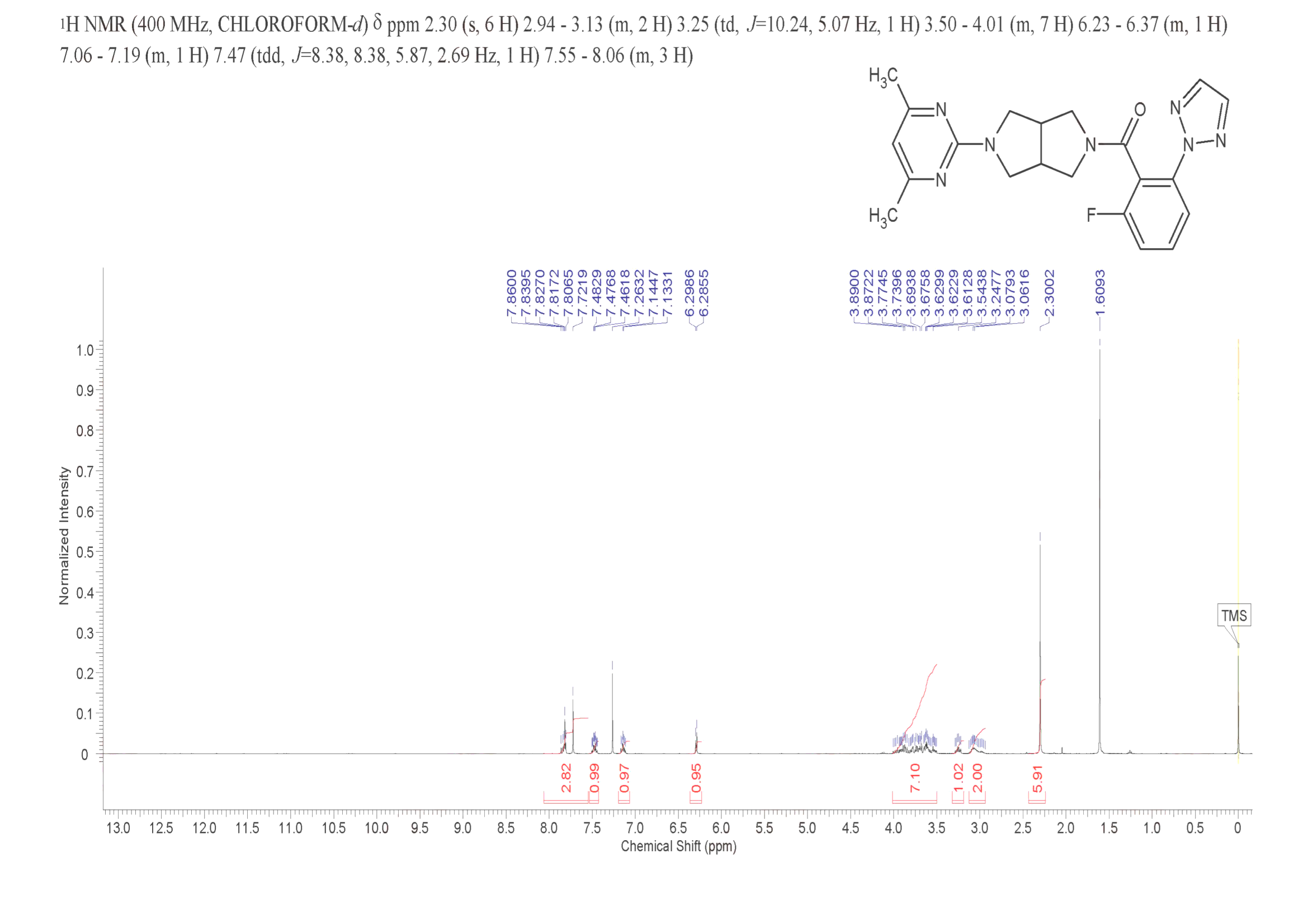
1HNMR
更多供应商
开封明仁药业有限公司
湖北科乐精细化工有限公司
InvivoChem
ChemeGen 中国
上海楼岚生物科技有限公司
福建省博实医药科技有限公司
HANGZHOU CLAP TECHNOLOGY CO.,LTD
范德(北京)生物科技有限责任公司
南京美韬医药科技有限公司
济南药研药物化学有限公司
JNJ-42847922(1293281-49-8)核磁图(1HNMR)相关产品图谱