ChemicalBook
English   Japanese   Germany   Korea
返回ChemicalBook首页>CAS数据库列表>6665-83-4更多图谱> 6-羟基黄酮(6665-83-4)核磁图(13CNMR)

6665-83-4

6-羟基黄酮(6665-83-4)核磁图(13CNMR)

产品名称:6-羟基黄酮

CAS:6665-83-4

分子式:C15H10O3

分子量: 238.24

InChI:InChI=1S/C15H10O3/c16-11-6-7-14-12(8-11)13(17)9-15(18-14)10-4-2-1-3-5-10/h1-9,16H

InChIKey: GPZYYYGYCRFPBU-UHFFFAOYSA-N

Smiles:C1(C2=CC=CC=C2)OC2=CC=C(O)C=C2C(=O)C=1

  • 图谱
    Mass

    MS-IW-7209          
    6-hydroxyflavone
    C15H10O3            (Mass of molecular ion:    238)
    

       Source Temperature: 180 °C
       Sample Temperature: 160 °C
       Direct, 75 eV
    

          17.0       1.4
          18.0       8.1
          28.0       1.0
          31.0       1.5
          32.0       4.8
          50.0       1.0
          51.0       2.3
          52.0       4.0
          53.0       1.6
          63.0       1.3
          76.0       3.5
          77.0       2.2
          78.0       1.2
          79.0       1.2
          80.0       7.0
          82.0       2.5
         102.0       2.8
         105.0       8.3
         107.0       2.2
         108.0       9.3
         119.0       2.1
         135.0       3.6
         136.0      91.1
         137.0       7.2
         152.0       1.2
         210.0       4.6
         237.0      10.3
         238.0     100.0
         239.0      17.2
         240.0       2.0
    

400 MHz in DMSO-d6

  • 图谱

    1H NMR 399.65 MHz
    C15 H10 O3 0.040 g : 0.5 ml DMSO-d6
    6-hydroxyflavone
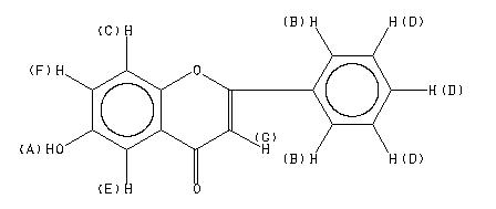
    ChemicalStructure
        Assign.     Shift(ppm)
    A 10.1 B 8.096 C 7.676 D 7.61 E 7.390 F 7.304 G 6.984

         Hz     ppm     Int.
    

       4032.29  10.090    924
       3243.26   8.116     45
       3240.36   8.108    309
       3238.83   8.105    367
       3237.15   8.100    184
       3234.86   8.095    141
       3232.88   8.090    294
       3230.74   8.084    370
       3072.66   7.689    412
       3063.81   7.667    466
       3052.37   7.638     33
       3047.49   7.626    101
       3045.96   7.622    135
       3041.08   7.610    637
       3038.48   7.603    264
       3033.91   7.592    348
       3030.24   7.583     77
       3028.41   7.578    103
       3026.89   7.574     50
       3025.05   7.570     68
       2955.02   7.395    421
       2951.97   7.387    488
       2924.96   7.319    300
       2921.91   7.312    242
       2915.95   7.297    267
       2912.90   7.289    230
       2791.14   6.984   1000
    

in DMSO-d6

  • 图谱

KBr disc

  • 图谱

nujol mull

  • 图谱

×