ChemicalBook
English   Japanese   Germany   Korea
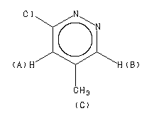
返回ChemicalBook首页>CAS数据库列表>89283-31-8更多图谱> 3-氯-5-甲基哒嗪(89283-31-8)核磁图(1HNMR)

89283-31-8

3-氯-5-甲基哒嗪(89283-31-8)核磁图(1HNMR)

产品名称:3-氯-5-甲基哒嗪

CAS:89283-31-8

分子式:C5H5ClN2

分子量: 128.56

InChI:InChI=1S/C5H5ClN2/c1-4-2-5(6)8-7-3-4/h2-3H,1H3

InChIKey: GXBWRBSCBONTKK-UHFFFAOYSA-N

Smiles:C1(Cl)=NN=CC(C)=C1

  • 图谱


        Parameter     ppm  Hz
    D(A) 7.40 D(B) 8.99 D(C) 2.41 J(A,B) 2.2 J(A,C) 1.0 J(B,C) 0.5 TORI,K. & OGATA,M. CHEM.PHARM.BULL. 12, 271 (1964)
    Spectral Code: 1H NMR : parameter in CDCl3

×