关键词:NOTA-NHS ester,NOTA-琥珀酰亚胺酯,1338231-09-6
产品介绍:
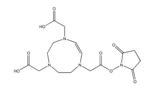
NOTA-NHS ester 是一种活性酯化衍生物,由三氮杂环庚烷(1,4,7-triazacyclononane, NOTA)结构基团衍生而来,并通过羧基活化形成 N-羟基琥珀酰亚胺(NHS)酯。其分子结构中包含三个位点可与金属离子形成稳定配位,同时 NHS 酯基使其能够高效与含氨基的生物分子发生共价偶联反应。NOTA-NHS ester 由于其化学稳定性、反应活性以及生物相容性,在化学标记、配位化学和生物功能化领域具有重要作用。
NOTA(1,4,7-三氮杂环壬烷-1,4,7-三乙酸)是一种环三胺类螯合剂,含有三个氮原子和三个羧基。这种结构使其对多种金属离子(如钆、镓、钇等)具有高亲和力,能够形成稳定的螯合物,为分子提供金属结合位点。
NOTA分子具有对金属离子(通常是放射性同位素)配位的能力,从而可以引入金属离子配位位点。NHS作为活化剂,能与含有氨基的生物分子(如蛋白质、抗体或肽)发生酰胺键反应,实现生物标记或修饰。在生物医学领域具有广泛应用,如荧光探针、药物输送、生物成像等。NOTA与正电子核素⁶⁸Ga 的完美匹配,已成为PET分子影像领域的黄金标准。其络合物具有无可匹敌的体内稳定性,为您提供超高靶本比和清晰的影像结果。
相关参数:
英文名称:NOTA-NHS ester,NOTA-N-Hydroxysuccinimide Ester
中文名称:NOTA-琥珀酰亚胺酯,NOTA-活性酯
CAS:1338231-09-6
分子式:C16H24N4O8
分子量:400.38
结构式:

外观:固体/粉末
纯度:95%,详情可在线咨询
发货:订单截止时间为每日16点整,部分城市可到17点整。
注意事项:在有粉尘生成的地方,提供合适的排风设备。不要让产物进入下水道。本品仅供科研用途,不作为其它用途。
保存建议: 需要存储在-20°C,避光,避湿的环境。取用一定要干燥,避免反复冻融。

同类型相关试剂:
NOTA-Azide
NOTA-p-NH2-Bn
NOTA-Bn-Mal
NOTA-Tetrazine
NOTA-Maleimide
NOTA-(COOt-Bu)2
NOTA-p-NCS-Bn
NOTA-(COOt-Bu)2-Butyne
NOTA-GA-Mal
NOTA-Me-Tetrazine
NOTA-PEG11-N3
NOTA-(COOt-Bu)3-Bn-NCS
NOTA-Butyne
NOTA-NHS ester
NOTA-GA-(COOt-Bu)3
上述信息均由西安凯新生物科技的小编小兮所整理