1-肉豆蔻酰基-2-硬脂酰磷脂酰胆碱 MSPC磷脂(14:0-18:0 PC,CAS:76343-22-1)
MSPC(1-Myristoyl-2-Stearoyl-sn-Glycero-3-Phosphocholine,中文名:1-肉豆蔻酰-2-硬脂酰-sn-甘油-3-磷脂酰胆碱)是一类典型的天然或合成磷脂分子,分子结构由甘油骨架、两个不同碳链长度的脂肪酸(14:0肉豆蔻酸与18:0硬脂酸)以及磷脂酰胆碱头基组成。其分子具有明显的两亲性:疏水尾部由不饱和程度较低的长链脂肪酸提供,亲水头部则由磷酸胆碱基团构成。这种两亲性结构使其能够在水相中自发形成单分子层、双分子层、脂质体或其他纳米结构。
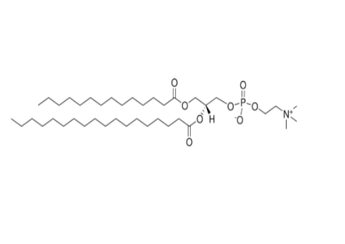
MSPC磷脂的结构式如下:

供应商:西安瑞禧生物科技有限公司
用途:科研
一、物理化学特性
MSPC属于甘油磷脂(phosphatidylcholine, PC)的亚型,其特殊之处在于脂肪酸链的组合:sn-1位是14:0(肉豆蔻酸,C14饱和链),sn-2位是18:0(硬脂酸,C18饱和链)。这种异链结构与对称链磷脂(如DPPC)相比,通常表现出不同的相变温度、膜流动性和稳定性。MSPC具有相对较高的相变温度,使其在常温下多处于凝胶相状态,但在体温下可进入液晶相,表现为适中的膜流动性。
二、在脂质体制备中的作用
MSPC常用于脂质体和纳米药物递送系统中。由于其链长与其他磷脂(如DSPC、DPPC)不同,掺入一定比例的MSPC可以调节脂质双层的刚性和通透性。特别是在温敏脂质体(thermosensitive liposome, TSL)的研究中,MSPC是一个常用组分。例如,将MSPC与DPPC、DSPE-PEG2000共同使用,可以在接近体温的温度下形成相变,从而在局部温热条件下触发药物快速释放。这种“可控释放”特性使MSPC成为肿瘤热疗与化疗联合应用中的重要材料。
三、生物相容性与安全性
MSPC属于磷脂酰胆碱类物质,这类分子广泛存在于生物膜中,因此具有良好的生物相容性和可降解性。在体内,MSPC可被磷脂酶分解为脂肪酸和溶血磷脂等代谢产物,最终进入正常的脂质代谢途径。由于其饱和脂肪酸链组成,MSPC的氧化稳定性优于含有不饱和链的磷脂,适合在药物制剂储存过程中保持稳定。
四、应用领域
药物递送系统:MSPC在脂质体、固体脂质纳米粒(SLN)和纳米胶束等药物递送载体的设计中,用于改善膜的热响应特性与药物释放行为。
温敏脂质体:通过调控MSPC与其他磷脂的比例,可以实现精准的温敏控制,常用于*癌药物(如阿霉素)的控释。
研究工具:在生物物理学研究中,MSPC常作为模型膜材料,用于研究膜相变、分子自组装及蛋白质-膜相互作用。
纳米制剂优化:与PEG修饰脂质、胆固醇等材料搭配,MSPC能帮助构建稳定、长循环且具备触发释放功能的纳米药物系统。
五、总结
MSPC(14:0-18:0 PC)作为一种具有特定链长组合的磷脂,其独特的相变性质与膜稳定性,使其在脂质体及药物控释体系中发挥着关键作用。它不仅具备良好的生物相容性和代谢可降解性,还能够通过调控脂质膜的热敏特性,实现对药物释放的精准调节。因此,MSPC在新型药物递送和制剂研发领域具有重要应用价值。
相关推荐:
18:0 Lyso PC,CAS:19420-57-6 1-硬脂酰-SN-甘油-3-磷酰胆碱
16:0-18:0 PC,CAS:59403-51-9 PSPC 1-棕榈酰基-2-硬脂酰基-SN-甘油-3-磷酸胆碱
18:0-18:1 PC,CAS:56421-10-4 1-硬脂酰-2-油酰磷脂酰胆碱(SOPC)
14:0-18:0 PC,CAS:76343-22-1 MSPC磷脂
以上资料由小编ssl提供,仅用于科研
关键字: 76343-22-1;MSPC磷脂;14:0-18:0 PC;
avanti、Genzyme磷脂氨基酸衍生、Nanocs的PEG产品、Matreya脂类 、Lumiprobe染料、Prospec重组蛋白、Hampton蛋白结晶,挤出器