可压性蔗糖
Keyaxing Zhetang
Compressible Sugar
本品系由蔗糖与其他辅料,如麦芽糊精共结晶制得;也可用干法制粒工艺制得。按干燥品计算,含蔗糖(C12H22O11)应为95.0%~98.0%。
本品可含有淀粉、麦芽糊精、转化糖以及适当的助流剂。
【性状】本品为白色或类白色结晶性粉末或微小颗粒。
本品在水中极易溶解。
【鉴别】(1)在含量测定项下,非转化溶液的比旋度不小于+62.6°,酸转化溶液为左旋。
(2)本品红外光吸收图谱应与对照品的图谱一致(通则0402)。
【检查】氯化物 取本品0.20g,加水溶解使成25ml,依法检查(通则0801),与标准氯化钠溶液2.5ml制成的对照液比较,不得更浓(0.0125%)。
硫酸盐 取本品1.0g,依法检查(通则0802),与标准硫酸钾溶液1.0ml制成的对照液比较,不得更浓(0.01%)。
干燥失重 取本品,在105℃干燥4小时,减失重量不得过1.0%(通则0831)。
炽灼残渣 取本品,依法检查(通则0841),遗留残渣不得过0.1%。
钙盐 取本品1.0g,加水5ml溶解,加草酸铵试液1ml, 1分钟内溶液应保持澄清。
重金属 取本品4.0g,加水20ml溶解,加0.1mol/L盐酸溶液1ml与水适量使成25ml,依法检查(通则0821第一法),含重金属不得过百万分之五。
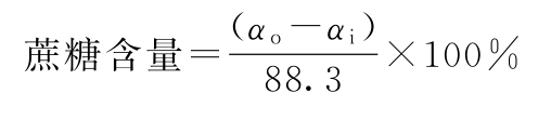
【含量测定】 取在105℃干燥4小时的本品约26g,精密称定,置100ml量瓶中,加饱和醋酸铅溶液0.3ml和水90ml,振摇使溶解,用水稀释至刻度,摇匀,用滤板上平铺硅藻土8g的布氏漏斗,减压抽滤,弃去初滤液20ml,精密量取续滤液25ml两份,分别置两个50ml量瓶中,取其中一瓶,缓缓加入盐酸溶液(1→2)6ml,充分摇匀,再加水10ml,摇匀后置60℃水浴,持续振摇3分钟,并继续加热7分钟,立即冷却至20℃,用水稀释至刻度,混匀;将另一瓶冷却至20℃,用水稀释至刻度,摇匀。将两个量瓶于20℃保持30分钟后,依法测定比旋度(通则0621),按下式计算:

式中 αo和αi分别为非转化和酸转化溶液的比旋度。
【类别】稀释剂和甜味剂。
【贮藏】密封保存。
关键字: 药用可压性蔗糖;有质检单的可压性蔗糖;500g起的可压性蔗糖;有批件的可压性蔗糖;资质齐全的可压性蔗糖;
位于古都西安,致力于药用辅料行业,秉承为客户提供优质服务,供应优质合格产品为己任,期待您的光临合作。 公司主要经营范围:公司主要给医院制剂室、皮肤所、防疫站、学校、卫生院、实验室、保健品厂、药厂等需要药用辅料的单位,提供各种医药辅料,试剂,中间体,提取物,消毒产品,化工原料和精细化学品等。此外为了满足客户需要我公司推出送货服务(凡是西安市二环内,购买2件产品,我公司给予免费送货服务。)