优惠券使用说明>

暂无可领优惠券

浙江普康化工有限公司

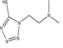
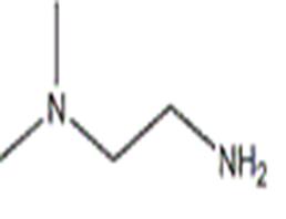
主营产品:三正丁基叠氮化锡,对乙酰基氨基苯磺酰叠氮化物,叠氮化三甲基硅烷(TMSiA)

客服热线:

  • 手机:13362001881
  • 电话:0570-6035071 
  • 邮箱:sales@bulk-chem.com
  • 网址:http://www.bulk-chem.com
  • 地址:浙江省衢州市开化县华埠镇三里亭
  • 企业认证:

商家暂时不对外公布

主页 | 企业会员服务 | 广告业务 | 联系我们 | 旧版入口 | 中文MSDS | CAS Index | 常用化学品CAS列表 | 化工产品目录 | 新产品列表 | 评选活动| HS海关编码
Copyright © 2008 ChemicalBook 京ICP备07040585号  京公网安备 11010802032676号  All rights reserved.
热线电话:010-86108875