In pharmacology, a drug is a chemical substance, typically of known structure, which, when administered to a living organism, produces a biological effect. A pharmaceutical drug, also called a medication or medicine, is a chemical substance used to treat, cure, prevent, or diagnose a disease or to promote well-being. Traditionally drugs were obtained through extraction from medicinal plants, but more recently also by organic synthesis. Pharmaceutical drugs may be used for a limited duration, or on a regular basis for chronic disorders.
Pharmacological research of AICAR
AICAR has been one of the most commonly used pharmacological modulators of Activated AMPK activity. Herein some pharmacological researches were introduced.
Nov 19,2025 DrugsThe application research of N-acetyl-L-leucine in Niemann–Pick Disease Type C
This report introduced the mechanism and the safety and efficacy of N-acetyl-l-leucine for the treatment of Niemann-Pick disease type C.
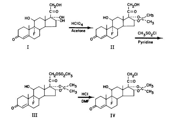
Nov 18,2025 DrugsApplication research of Testosterone acetate
Testosterone acetate is a steroid hormone synthesized and metabolized in human body. Herein its application study were introduced.
Nov 12,2025 DrugsDienogestrel: Endometrial Protection & Safety Profile
Dienogestrel (third-generation progestogen) protects endometrium in AUB-O, normalizes menstruation, and has favorable metabolic safety.
Nov 11,2025 DrugsPharmacology research of Nafamostat mesylate
Nafamostat mesylate is a broad-spectrum synthetic serine protease inhibitor that was used for non-infection indications. Its pharmacology will be introduced.
Nov 7,2025 DrugsThe Applications of Folcisteine
Folcisteine is recognized as a "plant stimulant" and it is widely utilized in both pharmaceutical and agricultural applications.
Nov 3,2025 DrugsEntecavir hydrate: Properties,Indications, Combination therapy and Possible complications
Entecavir hydrate is widely used in the treatment of chronic hepatitis B virus infection. Its relevant information and possible complications were reported.
Oct 31,2025 DrugsThe use of Deslorelin in different animals
Deslorelin is a synthetic gonadotropin-releasing hormone (GnRH) agonist that is seven times more potent than GnRH. Its use in animals were reported here.
Oct 24,2025 DrugsHalcinonide: Review of Synthesis, Efficacy, and Safety
Halcinonide is a topical corticosteroid with enhanced anti-inflammatory activity, effective in treating psoriasis and corticosteroid-responsive dermatoses.
Oct 20,2025 DrugsD(+)-Galactosamine Hydrochloride: Genotoxicity, Liver Injury Induction, and Osteoarthritis Relevance
D(+)-Galactosamine hydrochloride causes liver injury (with LPS) and genotoxicity in mice; alone, it offers little benefit for osteoarthritis symptoms.
Oct 17,2025 Drugs












