返回ChemicalBook首页>CAS数据库列表>5937-11-1

5937-11-1

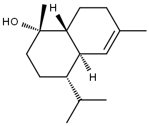
中文名称 T-杜松醇
英文名称 T-cadinol
CAS 5937-11-1
分子式 C15H26O
分子量 222.37
MOL 文件 5937-11-1.mol
更新日期 2026/05/11 09:50:37
5937-11-1 结构式 5937-11-1 结构式

基本信息

中文别名
T-松烷醇
T-杜松醇
英文别名
T-cadinol
Cedrelanol
10-Epicadinol
10-epi-α-Cadinol
(1S)-1,2,3,4,4aβ,7,8,8aα-Octahydro-1,6-dimethyl-4β-isopropyl-1-naphthol
(1S)-1,2,3,4,4aβ,7,8,8aα-Octahydro-1,6-dimethyl-4β-isopropylnaphthalen-1β-ol
1-Naphthalenol, 1,2,3,4,4a,7,8,8a-octahydro-1,6-dimethyl-4-(1-methylethyl)-, (1S,4S,4aR,8aR)-

物理化学性质

熔点139-140 °C
沸点303.4±31.0 °C(Predicted)
密度0.937±0.06 g/cm3(Predicted)
酸度系数(pKa)15.05±0.60(Predicted)
气味 (Odor)at 100.00 %. pure has no odor but mixtures have balsam earthy
香型balsamic
LogP4.899 (est)

常见问题列表

概述
T-杜松醇 是一种可以从 C. sylvestris 中分离得到的倍半萜,具有抗克氏锥虫活性,对锥鞭毛体和无鞭毛体的 IC50 值分别为 18.2 μM 和 15.8 μM。T-Cadinol 能诱导寄生虫的线粒体损伤,导致膜电势超极化和活性氧物种水平降低。T-Cadinol 可以用于恰加斯病的研究。
"5937-11-1" 相关产品信息