噻草定
|
|
- CAS号:
- 117718-60-2
- 英文名:
- THIAZOPYR
- 英文别名:
- VISOR;mon13200;THIAZOPYR;thiazophyr;Thiazopyr Standard;Idebenone Impurity 18;Thiazopyr in Acetonitrile;ThiazopyrSolution,100mg/L,1ml;thiazopyr (bsi, pa e-iso, ansi);Thiazopyr@1000 μg/mL in Acetone
- 中文名:
- 噻草定
- 中文别名:
- 噻唑吡;噻草定;噻草啶;噻唑烟酸;噻草定 标准品;甲醇中噻唑烟酸;噻唑烟酸(噻草啶);噻唑烟酸(标准品);噻唑烟酸(标准品);甲苯中噻唑烟酸标准品
- CBNumber:
- CB7705052
- 分子式:
- C16H17F5N2O2S
- 分子量:
- 396.38
- MOL File:
- 117718-60-2.mol
|
|
|
噻草定化学性质
-
熔点:
-
79-81°
-
|
-
沸点:
-
448.9±55.0 °C(Predicted)
-
|
-
密度:
-
1.3777 g/cm3(Temp: 25 °C)
-
|
-
储存条件:
-
0-6°C
-
|
-
酸度系数(pKa):
-
0.78±0.10(Predicted)
-
|
-
EPA化学物质信息:
-
Thiazopyr (117718-60-2)
-
|
噻草定性质、用途与生产工艺
噻草啶(thiazopyr),品名称Mandate、Visor。是由孟山都公司研制,罗门哈斯公司(现道农科)开发的吡啶类除草剂。工业品含量93%,纯品为具硫黄味的浅棕色固体,熔点77.3~79.1℃。蒸气压0.27mPa(25℃)。分配系数KowlogP=3.89(21℃)。相对密度1.373(25℃)。水中溶解度2.5mg/L(20℃)。有机溶剂中溶解度(20℃ ,g/100mL):甲醇28.7,己烷3.06。水中光解DT5015d。碱中水解 DT5064d(pH 9),3394d(pH 7),稳定(pH 4、5)。
毒性大鼠急性经口LD50>5000mg/kg。兔急性经皮LD50>5000mg/kg。对兔皮肤无刺激,对兔眼睛有轻微刺激。对豚鼠皮肤无致敏性。大鼠急性吸入LC50(4h)>1.2mg/L空气。NOEL[mg/(kg.d)]:(2y)大鼠0.36,(ly)狗0.5。ADIEPA)RfD 0.008mg/kg。无诱变性、遗传毒性及致畸作用。
噻草定可抑制细胞分裂,破坏纺锤体微管的形成。症状包括抑制根生长和分生组织肿胀,也可能会出现胚轴或茎节肿胀,种子萌发不受影响。可用于果树、甘蔗、菠萝、紫花荀蓿和森林等苗前用除草剂,主要用于防除一年生禾本科杂草和某些阔叶杂草,使用剂量一般为0.1~0.56kg/hm2。
(1)动物:迅速广泛地代谢并被排出体外。通过硫和碳的氧化和氧化脱脂作用被大鼠肝脏氧化。大翻车鱼的生物富集系数220,排出迅速,14d内98%被排出体外。
(2)植物:对几个物种的研究表明,噻草啶的代谢首先发生在二氢噻唑环,被植物氧化酶氧化成飙、亚硕、羟基衍生物和噻珀,同时还被脱脂成羧酸。
(3)土壤/环境土壤中,通过微生物和水解来降解。对美国多个地区的土壤消解研究表明平均DT5064d(8~150d)。垂直移动性很小,只有18ft (1ft=0.3048m)以下的几个检测值。单酸代谢产物也限制了正常使用下的垂直移动。土壤中光解不显著,水溶液中 DT5015d,表明污染地表水的潜力有限。
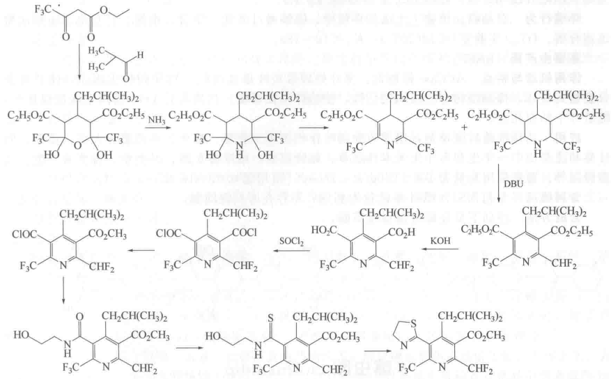
以三氟乙酰乙酸乙酯和异丁醛为起始原料,首先闭环生成取代的吡喃,经氨化、脱水,并与DBU反应得到取代的吡啶二羧酸酯。再经碱解、酸化、酰氯化制得取代的吡啶二酰氯,并与甲醇酯化,生成单酯。然后与乙醇氨制成酰胺,并与五硫化二磷反应生成硫代酰胺。最后闭环得到目的物。反应式为:

噻草定
上下游产品信息
上游原料
下游产品
噻草定
生产厂家
全球有 49家供应商
噻草定国内生产厂家
117718-60-2, 噻草定 相关搜索:
- 除草剂
- C16H17F5N2O2S
- 噻唑烟酸(标准品)
- 噻唑烟酸(标准品)
- 噻草定 117718-60-2
- 标准物质/甲醇中噻唑烟酸
- 乙腈中噻唑烟酸(噻草啶)
- 噻唑烟酸(噻草啶)
- 甲醇中噻唑烟酸
- 噻唑吡
- 牙前除草剂(噻草啶)
- 噻草定 标准品
- THIAZOPYR@1000 ΜG/ML IN ACETONE
- 甲苯中噻唑烟酸标准品
- 噻草啶
- 噻唑烟酸
- 噻草定
- 2-二氟甲基-5-(4,5-二氢-1,3-噻唑-2-基)-4-异丁基-6-三氟甲基烟酸甲酯
- 117718-60-2
- Pyridine Pesticide Mixture 675 500 μg/mL in Methanol
- Thiazopyr in Acetonitrile
- Thiazopyr 100 μg/ml Acetonitrile
- Idebenone Impurity 18
- Thiazopyr Standard
- Thiazopyr@100 μg/mL in Methanol
- Thiazopyr@1000 μg/mL in Acetone
- ThiazopyrSolution,100mg/L,1ml
- Methyl 2-(difluoromethyl)-5-(4,5-dihydro-1,3-thiazol-2-yl)-4-isobutyl-6-(trifluoromethyl)nicotinate
- 2-(Difluoromethyl)-5-(4,5-dihydro-2-thiazolyl)-4-(2-methylpropyl)-6-(trifluoromethyl)-3-pyridinecarboxylic acid methylester
- thiazopyr (bsi, pa e-iso, ansi)
- methyl-2-difluirimethyl-5-(4,5-dihydro-1,3-thiazol-2-yl)-4-isobutyl-6-trifluoromethylnicotinnate
- 2-(difluoromethyl)-5-(4,5-dihydro-2-thiazolyl)-4-(2-methylpropyl-6-trifluoromethyl)-3-pyridinecarboxylic acid methyl ester
- THIAZOPYR
- VISOR
- thiazophyr
- mon13200
- 2-(difluoromethyl)-5-(4,5-dihydro-2-thiazolyl)-4-(2-3-pyridinecarboxylicaci