2-METHYLISONICOTINALDEHYDE

2-METHYLISONICOTINALDEHYDE Struktur
63875-01-4
CAS-Nr.
63875-01-4
Englisch Name:
2-METHYLISONICOTINALDEHYDE
Synonyma:
2-METHYL-4-FORMYLPYRIDINE;4-FORMYL-2-METHYLPYRIDINE;2-METHYLISONICOTINALDEHYDE;2-Methylisonicotinaldehyde 95%;2-Methyl-4-pyridinecarbaldehyde;2-METHYLPYRIDINE-4-CARBALDEHYDE;2-METHYLPYRIDINE-4-CARBOXALDEHYDE;2-Methyl-4-Pyridinecarboxaldehyde;4-Pyridinecarboxaldehyde,2-Methyl-;3-forMyl-2-Methylpyridine-4-carboxylic acid
CBNumber:
CB4126555
Summenformel:
C7H7NO
Molgewicht:
121.14
MOL-Datei:
63875-01-4.mol

2-METHYLISONICOTINALDEHYDE Eigenschaften

Schmelzpunkt:
83 °C
Siedepunkt:
53-54 °C(Press: 0.5 Torr)
Dichte
1.095±0.06 g/cm3(Predicted)
storage temp. 
under inert gas (nitrogen or Argon) at 2-8°C
pka
3.98±0.10(Predicted)
Aussehen
Colorless to light yellow Liquid
InChI
InChI=1S/C7H7NO/c1-6-4-7(5-9)2-3-8-6/h2-5H,1H3
InChIKey
SUMAWDZJEIQACJ-UHFFFAOYSA-N
SMILES
C1(C)=NC=CC(C=O)=C1
Sicherheit
  • Risiko- und Sicherheitserklärung
  • Gefahreninformationscode (GHS)
HS Code  2933399990
Bildanzeige (GHS) GHS hazard pictograms
Alarmwort Warnung
Gefahrenhinweise
Code Gefahrenhinweise Gefahrenklasse Abteilung Alarmwort Symbol P-Code
H302 Gesundheitsschädlich bei Verschlucken. Akute Toxizität oral Kategorie 4 Warnung GHS hazard pictogramssrc="/GHS07.jpg" width="20" height="20" /> P264, P270, P301+P312, P330, P501
H315 Verursacht Hautreizungen. Hautreizung Kategorie 2 Warnung GHS hazard pictogramssrc="/GHS07.jpg" width="20" height="20" /> P264, P280, P302+P352, P321,P332+P313, P362
H319 Verursacht schwere Augenreizung. Schwere Augenreizung Kategorie 2 Warnung GHS hazard pictogramssrc="/GHS07.jpg" width="20" height="20" /> P264, P280, P305+P351+P338,P337+P313P
H335 Kann die Atemwege reizen. Spezifische Zielorgan-Toxizität (einmalige Exposition) Kategorie 3 (Atemwegsreizung) Warnung GHS hazard pictogramssrc="/GHS07.jpg" width="20" height="20" />
Sicherheit
P261 Einatmen von Staub vermeiden.
P305+P351+P338 BEI KONTAKT MIT DEN AUGEN: Einige Minuten lang behutsam mit Wasser spülen. Eventuell vorhandene Kontaktlinsen nach Möglichkeit entfernen. Weiter spülen.

2-METHYLISONICOTINALDEHYDE Chemische Eigenschaften,Einsatz,Produktion Methoden

Verwenden

2-Methylisonicotinaldehyde belongs to the pyridine group of compounds and is used in the preparation of benzimidazoles and related analogues as sirtuin modulators and in the synthesis of other organic compounds.

Synthese

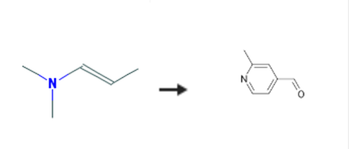
2-Methylisonicotinaldehyde is synthesised using methanol as raw material by chemical reaction. The specific synthesis steps are as follows:
A solution of N,N-dimethyl-2-(2-methyl-4-pyridyl)ethenamine (6.4 g, 39 mmol) in methanol (25 ml) was added dropwise to a mixture of sodium periodate (25.2 g, 117 mmol) and methanol (25 ml) at room temperature.. The mixture was stirred at the same temperature for 1 hr.. The precipitates were filtered off, and the filtrate was concentrated.. The residue was combined with water and extracted with ethyl acetate.. The organic layer was washed with saturated brine and dried over magnesium sulfate.. The solvent was evaporated to give the titled compound (3.7 g, 78 percent).1H-NMR (CDCl3) δ: 2.68 (3H, s), 7.51 (1H, d, J = 4.9 Hz), 7.56 (1H, s), 8.76 (1H, d, J = 4.9 Hz), 10.05 (1H, s).
2-METHYLISONICOTINALDEHYDE synthesis

2-METHYLISONICOTINALDEHYDE Upstream-Materialien And Downstream Produkte

Upstream-Materialien

Downstream Produkte


2-METHYLISONICOTINALDEHYDE Anbieter Lieferant Produzent Hersteller Vertrieb Händler.

Global( 150)Lieferanten
Firmenname Telefon E-Mail Land Produktkatalog Edge Rate
career henan chemical co
+86-0371-86658258 +8613203830695
sales@coreychem.com China 29852 58
Shenzhen Nexconn Pharmatechs Ltd
+86-755-89396905 +86-15013857715
admin@nexconn.com China 10406 58
Jinan Carbotang Biotech Co.,Ltd.
+8615866703830
figo.gao@foxmail.com China 8497 58
Accela ChemBio Inc.
+1-858-6993322
info@accelachem.com United States 21193 58
Hubei xin bonus chemical co. LTD
86-13657291602
linda@hubeijusheng.com CHINA 22963 58
Shandong chuangyingchemical Co., Ltd.
18853181302
sale@chuangyingchem.com CHINA 5906 58
Alchem Pharmtech,Inc.
8485655694
sales@alchempharmtech.com United States 63687 58
Guangzhou Yuheng Pharmaceutical Technology Co., Ltd
+8613580539051
joe@yuhengpharm.com CHINA 21142 58
Nanjing Fred Technology Co., Ltd.
+86-02584696168 15380713688
Austin@fredchem.cn CHINA 865 58
ANHUI WITOP BIOTECH CO., LTD
+8615255079626
eric@witopchemical.com China 23541 58

63875-01-4()Verwandte Suche:


  • 4-FORMYL-2-METHYLPYRIDINE
  • 2-METHYLPYRIDINE-4-CARBALDEHYDE
  • 2-METHYLPYRIDINE-4-CARBOXALDEHYDE
  • 2-METHYLISONICOTINALDEHYDE
  • 2-Methyl-4-pyridinecarbaldehyde
  • 2-Methyl-4-Pyridinecarboxaldehyde
  • 3-forMyl-2-Methylpyridine-4-carboxylic acid
  • 2-METHYL-4-FORMYLPYRIDINE
  • 4-Pyridinecarboxaldehyde,2-Methyl-
  • 2-Methylisonicotinaldehyde 4-Formyl-2-methylpyridine
  • 2-Methylisonicotinaldehyde 95%
  • 2-METHYLISONICOTINALDEHYDE ISO 9001:2015 REACH
  • 63875-01-4
  • Building Blocks
  • Pyridine
  • Heterocycle-Pyridine series
  • Pyridines
Copyright 2019 © ChemicalBook. All rights reserved