一种精神活性药物--布罗曼坦

2025/10/21 9:54:28 作者:飞斯

背景及概述

布罗曼坦又名Bromantan,是一种精神活性药物,因其兴奋剂和益智作用而广受欢迎。布罗曼坦最初在俄罗斯开发,作为一种改善身心表现的药物,已被运动员、学生和专业人士用于提升精力、专注力和耐力。其功效包括提高注意力、减少疲劳、改善记忆力和增强抗压能力。然而,需要强调的是,布罗曼坦仍是一种研究不足的物质,由于其潜在的副作用和健康风险,应谨慎使用。

图1 布罗曼坦性状图.png

图1 布罗曼坦性状图

兴奋剂事件

1996年亚特兰大奥运会期间,鉴于国际体坛兴奋剂事件频发,国际奥委会专门从美国和德国聘请药检专家并配置先进检测设施。俄罗斯运动员科尔涅夫、古利奥夫、日瓦涅夫斯卡娅、特兰丹科娃与拉脱维亚运动员拉兹迈特被检出服用该药物。俄罗斯代表团称布罗曼坦用于抵御病毒且未被列为禁药,国际奥委会认定其含兴奋剂成分并取消涉事运动员成绩。后经国际体育仲裁法庭裁定,因该药物未被列入当届禁药名单,运动员成绩最终恢复。2004年中国《兴奋剂目录》明确将布罗曼坦列为禁用物质,包含其盐类、光学异构体及单方制剂。

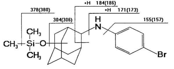
代谢物研究

参考文献[1]报道尿中布罗曼坦代谢物的研究与GC/MS测定,以口服布罗曼坦(50mg)后的尿样为样本,对该药进行代谢产物的GC/MS分析研究,检出3个羟基化产物(I)、(Ⅱ)、(Ⅲ)。采用SIM方式测定,取得这3种代谢物的排泄曲线。实验表明布罗曼坦的主要代解途径为分子结构中金刚烷环上的羟基化,其主要代谢物于服药后约12小时尿中排泄达到高峰。本方法适用于兴奋剂控制中心对布罗曼坦的检测。

图2 尿中布罗曼坦代谢物的研究.png

图2 尿中布罗曼坦代谢物的研究

参考文献

[1]崔凯荣,张亦农,吴侔天,刘欣,徐友宣,杨树民.尿中Bromantane代谢物的研究与GC/MS测定.[J]质谱学报.1998-02-15.

免责申明 ChemicalBook平台所发布的新闻资讯只作为知识提供,仅供各位业内人士参考和交流,不对其精确性及完整性做出保证。您不应 以此取代自己的独立判断,因此任何信息所生之风险应自行承担,与ChemicalBook无关。文章中涉及所有内容,包括但不限于文字、图片等等。如有侵权,请联系我们进行处理!
阅读量:308 0

欢迎您浏览更多关于布罗曼坦的相关新闻资讯信息