| Structure | Chemical Name | CAS | MF |
|
3-Thiophenecarboxamide,2-amino-4,5-dihydro-(9CI)
|
133036-77-8
|
C5H8N2OS
|
|
Carbamic acid, (3-cyano-4,5-dihydro-2-furanyl)-, ethyl ester (9CI)
|
133036-80-3
|
C8H10N2O3
|
|
Butanamide, N-acetyl-4-chloro-2-cyano-
|
133036-82-5
|
C7H9ClN2O2
|
|
Cyclopropanecarboxamide, N-acetyl-1-cyano- (9CI)
|
133036-87-0
|
C7H8N2O2
|
|
Carbamic acid, [(1-cyanocyclopropyl)carbonyl]-, ethyl ester (9CI)
|
133036-89-2
|
C8H10N2O3
|
|
3-Thiophenecarboxamide,2-amino-4,5-dihydro-5-methyl-(9CI)
|
133036-95-0
|
C6H10N2OS
|
|
ethyl (E)-2-(benzylideneamino)acetate
|
133038-44-5
|
C11H13NO2
|
|
benzyl N-[(1S)-1-[[(2S,5S)-3,3-difluoro-5-[[(2S)-3-methyl-2-phenylmeth oxycarbonylamino-butanoyl]amino]-4-oxo-1,6-diphenyl-hexan-2-yl]carbamo yl]-2-methyl-propyl]carbamate
|
133038-85-4
|
C44H50F2N4O7
|
|
ELLAGIC ACID DIHYDRATE
|
133039-73-3
|
C14H10O10
|
|
3-HYDROXY-7,8,2'',3''-TETRAMETHOXYFLAVONE
|
133039-76-6
|
C19H18O7
|
|
4-Pyrimidinethiol (9CI)
|
133039-82-4
|
C4H4N2S
|
|
2,4-Pyrimidinedithiol (9CI)
|
133039-83-5
|
C4H4N2S2
|
|
Carbamic acid, [(1S)-2-fluoro-1-methyl-2-oxoethyl]-, 1,1-dimethylethyl ester
|
133039-96-0
|
C8H14FNO3
|
|
EPROSARTAN
|
133040-01-4
|
C23H24N2O4S
|
|
METHYL 4-[(2-BUTYL-5-FORMYL-1H-IMIDAZOL-1-YL)METHYL]BENZOATE
|
133040-03-6
|
C17H20N2O3
|
|
Methyl (E)-3-[2-Butyl-1-[(4-Carbomethoxyphenyl)methyl]imidazol-5-yl]-2-(2-thienylmethyl)-2-propenoate
|
133040-06-9
|
C25H28N2O4S
|
|
2-[2-(5-BROMO-1H-INDOL-3-YL)ETHYL]-3-[3-(1-METHYLETHOXY)PHENYL]-4-(3H)-QUINAZOLINONE
|
133040-77-4
|
C27H24BrN3O2
|
|
2-[2-hydroxyethyl-[4-[[4-(quinolin-4-ylamino)phenyl]methyl]phenyl]amin o]ethanol dihydrochloride
|
133041-49-3
|
C26H29Cl2N3O2
|
|
N-[4-(bis(2-hydroxyethyl)amino)phenyl]-4-(quinolin-4-ylamino)benzamide dihydrochloride
|
133041-51-7
|
C26H28Cl2N4O3
|
|
[4-(bis(2-hydroxyethyl)amino)phenyl]-[4-(quinolin-4-ylamino)phenyl]met hanone dihydrochloride
|
133041-52-8
|
C26H27Cl2N3O3
|
|
N-[4-[4-[bis(2-chloroethyl)amino]phenoxy]phenyl]quinolin-4-amine hydro chloride
|
133041-53-9
|
C25H24Cl3N3O
|
|
N-[4-[[4-[bis(2-chloroethyl)amino]phenyl]methyl]phenyl]quinolin-4-amin e hydrochloride
|
133041-54-0
|
C26H26Cl3N3
|
|
N-[4-[4-[bis(2-chloroethyl)amino]phenyl]sulfanylphenyl]quinolin-4-amin e hydrochloride
|
133041-55-1
|
C25H24Cl3N3S
|
|
N-[4-[bis(2-chloroethyl)amino]phenyl]-4-(quinolin-4-ylamino)benzamide hydrochloride
|
133041-56-2
|
C26H25Cl3N4O
|
|
4-[bis(2-chloroethyl)amino]-N-[4-(quinolin-4-ylamino)phenyl]benzamide hydrochloride
|
133041-57-3
|
C26H25Cl3N4O
|
|
N-[4-[4-[bis(2-chloroethyl)amino]phenyl]sulfonylphenyl]quinolin-4-amin e hydrochloride
|
133041-59-5
|
C25H24Cl3N3O2S
|
|
N-[4-[4-(4-chlorobutan-2-ylamino)phenoxy]phenyl]quinolin-4-amine dihyd rochloride
|
133041-60-8
|
C25H26Cl3N3O
|
|
2-aziridinyl-1,4-naphthoquinon-5-yl 4-ethylbenzenesulfonate
|
133041-99-3
|
C20H17NO5S
|
|
2-aziridinyl-1,4-naphthoquinon-5-yl 4-tert-butylbenzenesulfonate
|
133042-00-9
|
C22H21NO5S
|
|
1-NAPHTHALENYL ESTER FLUOROSULFURIC ACID
|
133042-64-5
|
C10H7FO3S
|
|
N-(3-bromobenzyl)-N-(tert-butyl)amine
|
133042-85-0
|
C11H16BrN
|
|
6-benzoylbenzothiazolin-2-one
|
133044-31-2
|
C14H9NO2S
|
|
2(3H)-Benzothiazolone,6-(1-oxopropyl)-(9CI)
|
133044-35-6
|
C10H9NO2S
|
|
2(3H)-Benzothiazolone,6-(1-oxobutyl)-(9CI)
|
133044-37-8
|
C11H11NO2S
|
|
2(3H)-Benzothiazolone,6-acetyl-(9CI)
|
133044-44-7
|
C9H7NO2S
|
|
4-Thiazolecarboxylicacid,2-(trifluoromethyl)-,ethylester(9CI)
|
133046-46-5
|
C7H6F3NO2S
|
|
[2-(Trifluoromethyl)-1,3-thiazol-4-yl]methanol
|
133046-47-6
|
C5H4F3NOS
|
|
2-(TRIFLUOROMETHYL)-1,3-THIAZOLE-4-CARBALDEHYDE
|
133046-48-7
|
C5H2F3NOS
|
|
4-Thiazolecarboxylicacid,2-pentyl-,ethylester(9CI)
|
133047-37-7
|
C11H17NO2S
|
|
4-Thiazolecarboxylicacid,2-(1-methylethyl)-,ethylester(9CI)
|
133047-44-6
|
C9H13NO2S
|
|
4-Thiazolemethanol,2-(1-methylethyl)-(9CI)
|
133047-45-7
|
C7H11NOS
|
|
4-Formyl-2-isopropylthiazole
|
133047-46-8
|
C7H9NOS
|
|
CYCLOHEXYL 3,4-DIMETHYLPHENYL KETONE
|
133047-84-4
|
C15H20O
|
|
1-hydroxycyclohexyl-(4-methylphenyl)-methanone
|
133047-88-8
|
C14H18O2
|
|
β-D-Lyxofuranose, 5-O-[(1,1-diMethylethyl)diphenylsilyl]-1,2-O-(1-Methylethylidene)-
|
133048-89-2
|
C24H32O5Si
|
|
DTPA-4-aminobutane-1,1-diphosphonate
|
133049-44-2
|
C18H31GdN4O15P2
|
|
1-(((3R,5aS,6R,8aS,9R,10S,12R,12aR)-3,6,9-trimethyldecahydro-12H-3,12-epoxy[1,2]dioxepino[4,3-i]isochromen-10-yl)oxy)propan-2-one
|
133050-87-0
|
C18H28O6
|
|
5-[4'-(Bromomethyl)-[1,1'-biphenyl]-2-yl]-2-(triphenylmethyl)-2H-tetrazole
|
133051-88-4
|
C33H25BrN4
|
|
4'-(AMINOMETHYL)-BIPHENYL-2-CARBOXYLIC ACID METHYL ESTER
|
133052-21-8
|
C15H15NO2
|
|
2-BUTYL-5,6-DICHLORO-1H-1,3-BENZIMIDAZOLE
|
133052-59-2
|
C11H12Cl2N2
|
|
GF109203X
|
133052-90-1
|
C25H24N4O2
|
|
GO 6983
|
133053-19-7
|
C26H26N4O3
|
|
1H-Indole, 7-Methyl-6-nitro-
|
133053-70-0
|
C9H8N2O2
|
|
3-METHYL-6-NITROINDOLE
|
133053-76-6
|
C9H8N2O2
|
|
N-(2-methyl-3-nitrophenyl)benzamide
|
133053-84-6
|
C14H12N2O3
|
|
Methyl 2-(6-Nitro-3-indolyl)-2-oxoacetate
|
133053-91-5
|
C11H8N2O5
|
|
4-Chloro-N-(2-methyl-3-nitrophenyl)butanamide
|
133053-93-7
|
C11H13ClN2O3
|
|
1,3-bis(trifluoroacetyl)-2-(4-nitro-3-indolyl)-4-imidazoline
|
133053-95-9
|
C15H8F6N4O4
|
|
FMOC-D-THZ-OH
|
133054-21-4
|
C19H17NO4S
|
|
Benzeneacetaldehyde, 2-fluoro-, oxime (9CI)
|
133054-52-1
|
C8H8FNO
|
|
sarain A
|
133056-38-9
|
C32H50N2O3
|
|
4-BENZYLOXY-3-FLUORO-BROMOBENZENE
|
133057-82-6
|
C13H10BrFO
|
|
4-(Benzyloxy)-3-fluorophenylboronic acid
|
133057-83-7
|
C13H12BFO3
|
|
2,2′-[1,1′-Biphenyl]-4,4′-diylbis[3,5-dimethyl]- 6-benzofuransulfonic acid disodium salt
|
133057-91-7
|
C32H27NaO8S2
|
|
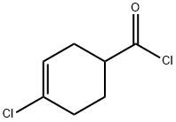
3-Cyclohexene-1-carbonyl chloride, 4-chloro- (9CI)
|
133058-06-7
|
C7H8Cl2O
|
|
KFM 19
|
133058-72-7
|
C16H22N4O3
|
|
TRANS-2-(4-FLUOROPHENYL)-5-(TRANS-4-N-PROPYLCYCLOHEXYL)-1,3-DIOXANE
|
133058-92-1
|
C19H27FO2
|
|
TRANS-2-(4-FLUOROPHENYL)-5-(TRANS-4-N-PENTYLCYCLOHEXYL)-1,3-DIOXANE
|
133058-95-4
|
C21H31FO2
|
|
TRANS-2-(3,4-DIFLUOROPHENYL)-5-(TRANS-4-N-PROPYLCYCLOHEXYL)-1,3-DIOXANE
|
133059-01-5
|
C19H26F2O2
|
|
TRANS-2-(3,4-DIFLUOROPHENYL)-5-(TRANS-4-N-PENTYLCYCLOHEXYL)-1,3-DIOXANE
|
133059-04-8
|
C21H30F2O2
|
|
4-Bromo-3-fluorobenzaldehyde
|
133059-43-5
|
C7H4BrFO
|
|
4-Bromo-3-fluorobenzonitrile
|
133059-44-6
|
C7H3BrFN
|
|
ZD7288
|
133059-99-1
|
C15H21ClN4
|
|
4-ETHYLPHENYLAMINO-1,2-DIMETHYL-6-METHYLAMINOPYRIMIDINIUM CHLORIDE
|
133060-80-7
|
C15H20N4
|
|
4(1H)-Pyrimidinone,2-amino-6-methyl-1-(1-methylethyl)-(9CI)
|
133062-62-1
|
C8H13N3O
|
|
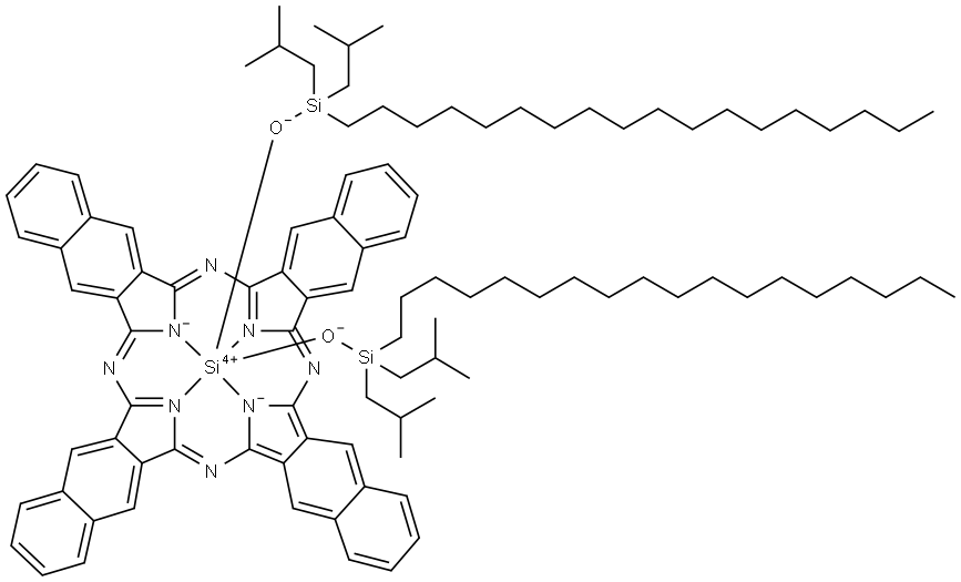
bis(di-isobutyloctadecylsiloxy)silicon 2,3-naphthalocyanine
|
133063-13-5
|
C100H134N8O2Si3
|
|
gltS protein, E coli
|
133064-64-9
|
|
|
CCAAT transcription factor EFI(A)
|
133065-13-1
|
C16H28O14
|
|
H-Lys-Pro-AMC
|
133066-53-2
|
C21H28N4O4
|
|
(3R,4S)-2-OXO-4-PHENYLAZETIDIN-3-YL ACETATE
|
133066-59-8
|
C11H11NO3
|
|
PACLITAXEL SIDE CHAIN NO 1
|
133066-61-2
|
C20H21NO4
|
|
N-methylbenperidol
|
133066-70-3
|
C23H26FN3O2
|
|
2-(2-bromoethoxy)-1,1,1-trifluoroethane
|
133068-36-7
|
C4H6BrF3O
|
|
POLY[(2,5-BISOCTYLOXY)-1,4-PHENYLENEVINYLENE]
|
133069-19-9
|
(C24H38O2)n
|
|
3-(Piperazin-1-yl)benzo[d]isothiazole dihydrochloride
|
133070-64-1
|
C11H15Cl2N3S
|
|
Benzene, 2-ethoxy-1,4-dinitro- (9CI)
|
133070-80-1
|
C8H8N2O5
|
|
6-Oxabicyclo[3.1.0]hexane-2-carboxamide,2,4-dihydroxy-,(1R,2S,4R,5R)-(9CI)
|
133071-12-2
|
C6H9NO4
|
|
2-Cyclopentene-1-carboxamide,1,4-dihydroxy-,(1S,4R)-(9CI)
|
133071-13-3
|
C6H9NO3
|
|
4-(4-{[(5-methyl-3-isoxazolyl)amino]sulfonyl}anilino)-4-oxobutanoic acid
|
133071-57-5
|
C14H15N3O6S
|
|
5H-Cyclopenta[b]pyridine-7-thiol,6,7-dihydro-(9CI)
|
133073-01-5
|
C8H9NS
|
|
3,N(4)-etheno-3'-deoxyguanosine monophosphate
|
133073-61-7
|
C12H14N5O7P
|
|
METHOTREXATE HYDRATE
|
133073-73-1
|
C20H24N8O6
|
|
Vasopressin, 1-(tetrahydro-4-mercapto-2H-pyran-4-acetic acid)-2-(O-eth yl-D-tyrosine)-4-L-valine-8-L-arginine-
|
133073-75-3
|
C52H75N13O12S2
|
|
(2S)-1-[(10R,13S,16S,19S,22R)-19-benzyl-13-(carbamoylmethyl)-22-[(4-et hoxyphenyl)methyl]-12,15,18,21,24-pentaoxo-16-propan-2-yl-3,7,8-trithi a-11,14,17,20,23-pentazaspiro[5.19]pentacosane-10-carbonyl]-N-[(1S)-1- (carbamoylmethylcarbamoyl)-4-(diaminomethylideneamino)butyl]pyrrolidin e-2-carboxamide
|
133073-76-4
|
C52H75N13O11S3
|
|
1-tert-butyl-3-ethoxybenzene
|
133073-81-1
|
C12H18O
|
|
3-(3-Fluorophenoxy)-1-propanol
|
133077-41-5
|
C9H11FO2
|
|
3-(3-FLUORO-PHENOXY)-PROPIONIC ACID
|
133077-42-6
|
C9H9FO3
|
|
bovine ribonuclease peptide (41-61)
|
133080-20-3
|
C100H162N28O32S
|
|
3-Buten-2-ol,4-(2-pyridinyl)-,(E)-(9CI)
|
133080-43-0
|
C9H11NO
|
|
3-Buten-2-ol,4-(4-pyridinyl)-,(E)-(9CI)
|
133080-46-3
|
C9H11NO
|