Welcome to chemicalbook!
+1 (818) 612-2111
RFQ
Try our best to find the right business for you.
Do not miss inquiry messages Please log in to view all inquiry messages.

Welcome back!

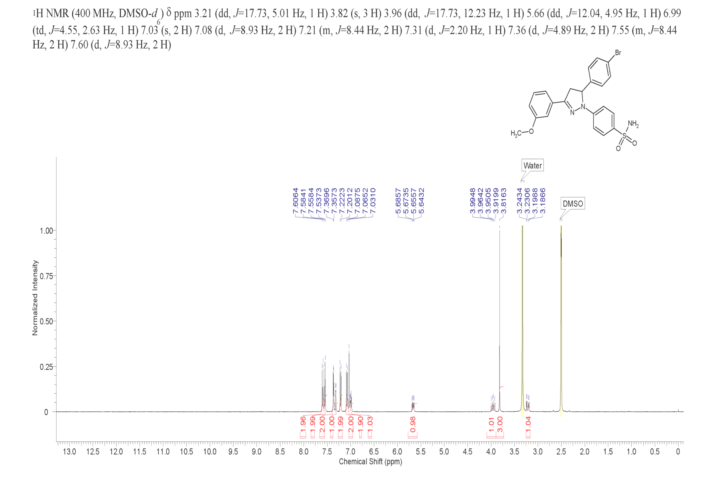
Back ChemicalBook Home>CAS DataBase List>1222513-26-9More Spectrum> KUC103479N-02(1222513-26-9) 1H NMR

1222513-26-9

KUC103479N-02(1222513-26-9) 1H NMR

Product NameKUC103479N-02

CAS1222513-26-9

Molecular FormulaC22H20BrN3O3S

Molecular Weight486.38

KUC103479N-02(1222513-26-9) 1H NMR Atlas of Related Products

×