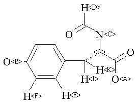
N-FORMYL-L-TYROSINE(13200-86-7) IR2
Molecular FormulaC10H11NO4
Molecular Weight209.2
InChIInChI=1S/C10H11NO4/c12-6-11-9(10(14)15)5-7-1-3-8(13)4-2-7/h1-4,6,9,13H,5H2,(H,11,12)(H,14,15)/t9-/m0/s1
InChIKey ROUWPHMRHBMAFE-VIFPVBQESA-N
SmilesC(O)(=O)[C@H](CC1=CC=C(O)C=C1)NC=O
-

Mass
MS-NW-2454
N-formyl-L-tyrosine
C10H11NO4 (Mass of molecular ion: 209)
Source Temperature: 230 °C
Sample Temperature: 140 °C
Direct, 75 eV
18.0 2.3
27.0 2.0
28.0 5.4
29.0 2.0
39.0 3.4
46.0 1.1
51.0 2.9
52.0 1.6
53.0 2.4
55.0 1.3
63.0 1.3
65.0 2.1
68.0 1.4
77.0 11.0
78.0 2.7
79.0 2.0
91.0 4.1
94.0 1.4
107.0 100.0
108.0 8.5
118.0 1.7
119.0 1.5
135.0 1.0
136.0 1.3
147.0 2.9
163.0 3.4
164.0 43.4
165.0 4.3
209.0 1.4