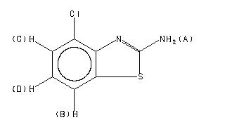
Product Name2-AMINO-4-CHLOROBENZOTHIAZOLE
CAS19952-47-7
Molecular FormulaC7H5ClN2S
Molecular Weight184.65
InChIInChI=1S/C7H5ClN2S/c8-4-2-1-3-5-6(4)10-7(9)11-5/h1-3H,(H2,9,10)
InChIKey OEQQFQXMCPMEIH-UHFFFAOYSA-N
SmilesS1C2=CC=CC(Cl)=C2N=C1N

Mass
MS-NW-6186 2-amino-4-chlorobenzothiazole C7H5ClN2S (Mass of molecular ion: 184)
Source Temperature: 170 °C Sample Temperature: 140 °C Direct, 75 eV
18.0 3.4
28.0 1.9
37.0 1.2
38.0 1.0
39.0 1.4
45.0 3.6
50.0 1.1
51.0 1.1
60.0 1.7
61.0 1.3
62.0 2.4
63.0 5.1
64.0 1.0
69.0 5.7
70.0 1.4
71.0 1.0
73.0 1.3
74.0 1.3
75.0 1.3
76.0 1.6
78.0 1.0
81.0 1.8
82.0 1.3
90.0 1.0
92.0 5.5
93.0 2.8
94.0 1.3
95.0 4.5
97.0 1.2
105.0 2.1
106.0 1.5
107.0 3.8
120.0 1.3
121.0 4.0
122.0 27.8
123.0 2.7
124.0 2.0
130.0 4.6
132.0 1.9
139.0 1.2
142.0 2.1
148.0 1.3
149.0 10.8
150.0 1.2
152.0 1.5
156.0 1.6
157.0 12.1
158.0 1.6
159.0 4.8
183.0 1.4
184.0 100.0
185.0 9.9
186.0 35.9
187.0 3.4
188.0 1.7
400 MHz in DMSO-d6

| 1H NMR | 399.65 MHz |
| C7 H5 Cl N2 S | 0.039 g : 0.5 ml DMSO-d6 |
| 2-amino-4-chlorobenzothiazole | |
![]() |
Assign. Shift(ppm) |
Hz ppm Int.
3193.60 7.991 30 3192.99 7.990 32 3192.38 7.988 34 3191.77 7.987 37 3177.37 7.951 1000 3163.82 7.917 39 3163.21 7.915 36 3066.65 7.674 513 3065.80 7.672 533 3062.38 7.663 91 3058.84 7.654 552 3057.98 7.652 553 2930.30 7.333 495 2929.57 7.331 509 2926.51 7.323 89 2922.49 7.313 575 2921.63 7.311 563 2816.04 7.047 422 2808.23 7.027 736 2800.29 7.007 353
in DMSO-d6

KBr disc

nujol mull


2-AMINO-4-CHLOROBENZOTHIAZOLE(19952-47-7) Raman Atlas of Related Products
HomePage | Member Companies | Advertising | Contact us | Previous WebSite | MSDS | CAS Index | CAS DataBase
Copyright © 2017 ChemicalBook All rights reserved.