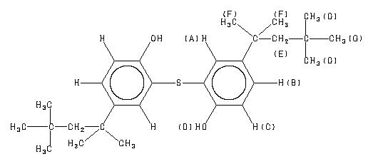
Product Name2,2'-Thiodi(4-tert-octylphenol)
CAS3294-03-9
Molecular FormulaC28H42O2S
Molecular Weight442.7
InChIInChI=1S/C28H42O2S/c1-25(2,3)17-27(7,8)19-11-13-21(29)23(15-19)31-24-16-20(12-14-22(24)30)28(9,10)18-26(4,5)6/h11-16,29-30H,17-18H2,1-10H3
InChIKey WQYFETFRIRDUPJ-UHFFFAOYSA-N
SmilesS(C1=CC(C(C)(C)CC(C)(C)C)=CC=C1O)C1=CC(C(C)(C)CC(C)(C)C)=CC=C1O

Mass
MS-IW-9464 2,2'-thiobis(4-(1,1,3,3-tetramethylbutyl)phenol) C28H42O2S (Mass of molecular ion: 442)
Source Temperature: 170 °C Sample Temperature: 160 °C Direct, 75 eV
18.0 3.2
27.0 1.8
28.0 1.2
29.0 9.9
39.0 2.2
41.0 16.7
43.0 12.9
45.0 1.7
53.0 1.4
55.0 5.6
56.0 1.4
57.0 64.7
58.0 2.8
59.0 1.9
65.0 1.4
69.0 1.5
71.0 3.1
77.0 3.0
78.0 1.0
79.0 2.7
91.0 4.4
93.0 2.2
94.0 1.5
95.0 2.2
97.0 2.7
103.0 2.3
104.0 1.4
105.0 4.5
106.0 1.0
107.0 7.2
113.0 1.3
115.0 1.2
117.0 1.0
119.0 4.0
120.0 1.0
121.0 2.5
122.0 6.3
123.0 1.4
125.0 3.1
128.0 1.2
131.0 1.2
132.0 1.3
133.0 8.3
134.0 13.2
135.0 24.7
136.0 9.4
136.5 1.2
137.0 6.4
138.0 3.3
139.0 2.4
146.0 1.0
147.0 2.9
148.0 3.0
149.0 2.9
149.5 3.5
150.0 29.9
150.5 5.0
151.0 5.3
152.0 1.0
165.0 14.5
166.0 18.8
167.0 12.0
168.0 2.2
179.0 2.9
180.0 2.1
181.0 3.6
231.0 1.3
237.0 1.1
259.0 53.6
260.0 9.2
261.0 3.4
273.0 1.2
299.0 4.9
300.0 1.2
313.0 1.0
371.0 100.0
372.0 26.4
373.0 8.1
374.0 1.5
442.0 7.8
443.0 2.5
400 MHz in CDCl3

| 1H NMR | 399.65 MHz |
| C28 H42 O2 S | 0.039 g : 0.5 ml CDCl3 |
| 2,2'-thiobis(4-(1,1,3,3-tetramethylbutyl)phenol) | |
![]() |
Assign. Shift(ppm) |
Hz ppm Int.
2922.24 7.312 84
2919.92 7.307 93
2886.60 7.223 46
2884.16 7.217 40
2878.05 7.202 51
2875.61 7.196 46
2745.48 6.870 98
2736.94 6.849 88
2478.39 6.202 153
648.19 1.622 240
503.78 1.261 604
262.21 0.657 1000
in CDCl3

KBr disc

nujol mull

2,2'-Thiodi(4-tert-octylphenol)(3294-03-9) IR1 Atlas of Related Products
HomePage | Member Companies | Advertising | Contact us | Previous WebSite | MSDS | CAS Index | CAS DataBase
Copyright © 2017 ChemicalBook All rights reserved.