Welcome to chemicalbook!
+1 (818) 612-2111
RFQ
Try our best to find the right business for you.
Do not miss inquiry messages Please log in to view all inquiry messages.

Welcome back!

Back ChemicalBook Home>CAS DataBase List>7244-04-4More Spectrum> 5-tert-Butyl-6-oxo-2,4-cyclohexadienylidenediacetate(7244-04-4) 1H NMR

7244-04-4

5-tert-Butyl-6-oxo-2,4-cyclohexadienylidenediacetate(7244-04-4) 1H NMR

Molecular Formula

Molecular Weight

InChIInChI=1S/C14H18O5/c1-9(15)18-14(19-10(2)16)8-6-7-11(12(14)17)13(3,4)5/h6-8H,1-5H3

InChIKey XCEKZPYZBHDPAB-UHFFFAOYSA-N

SmilesC1(OC(=O)C)(OC(=O)C)C(=O)C(C(C)(C)C)=CC=C1

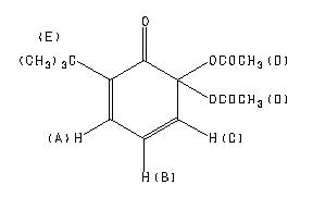
  • 5-tert-Butyl-6-oxo-2,4-cyclohexadienylidenediacetate(7244-04-4) <sup>1</sup>H NMR


        Parameter     ppm  Hz
    D(A) 6.56 D(B) 6.33 D(C) 6.02 J(A,B) 6.4 J(A,C) 1.7 J(B,C) 9.7 D(D) 2.04 D(E) 1.20 BUBB,W.A. ET AL. ORG.MAGN.RESON. 9, 167 (1977)
    Spectral Code: 1H NMR : parameter in CCl4

5-tert-Butyl-6-oxo-2,4-cyclohexadienylidenediacetate(7244-04-4) 1H NMR Atlas of Related Products

×