ChemicalBook
English   Japanese   Germany   Korea
返回ChemicalBook首页>CAS数据库列表>261-96-1更多图谱> 氮杂苯酚噻嗪(261-96-1)质谱(MS)

261-96-1

氮杂苯酚噻嗪(261-96-1)质谱(MS)

产品名称:氮杂苯酚噻嗪

CAS:261-96-1

分子式:C11H8N2S

分子量: 200.26

  • 图谱
    Mass

    MS-NW-8082          
    10H-pyrido(3,2-b)(1,4)benzothiazine
    C11H8N2S            (Mass of molecular ion:    200)
    

       Source Temperature: 160 °C
       Sample Temperature: 130 °C
       Direct, 75 eV
    

          39.0       2.3
          45.0       1.5
          51.0       1.1
          63.0       1.2
          69.0       2.7
          77.0       1.1
          78.0       1.7
          82.0       1.2
          86.5       1.1
          87.0       1.7
         100.0       8.2
         100.5       1.1
         101.0       1.2
         102.0       1.0
         114.0       1.3
         128.0       1.9
         129.0       1.5
         140.0       4.0
         141.0       2.2
         155.0       5.7
         156.0       7.4
         166.0       1.1
         167.0       3.4
         168.0      29.2
         169.0       5.3
         170.0       1.2
         172.0       3.0
         173.0       1.6
         198.0       1.9
         199.0      12.0
         200.0     100.0
         201.0      14.0
         202.0       5.4
    

400 MHz in CDCl3

  • 图谱

    1H NMR 399.65 MHz
    C11 H8 N2 S 0.038 g : 0.5 ml CDCl3
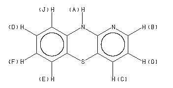
    10H-pyrido(3,2-b)(1,4)benzothiazine
    ChemicalStructure
        Assign.     Shift(ppm)
    A 7.89 B 7.829 C 7.147 D 6.969 E 6.906 F 6.809 G 6.689 J 6.546

         Hz     ppm     Int.
    

       3153.44   7.891    290
       3132.45   7.838    630
       3130.86   7.835    683
       3127.32   7.826    682
       3125.73   7.822    689
       2861.08   7.159    775
       2859.50   7.156    798
       2853.52   7.141    863
       2851.93   7.137    846
       2794.43   6.993    352
       2792.85   6.989    388
       2786.62   6.973    609
       2785.52   6.970    680
       2779.17   6.955    474
       2777.71   6.951    536
       2769.53   6.930     37
       2769.29   6.930     37
       2765.26   6.920    642
       2763.92   6.916    648
       2757.57   6.900   1000
       2756.10   6.897    859
       2752.32   6.887     35
       2728.39   6.827    595
       2727.17   6.824    622
       2724.49   6.818     47
       2720.83   6.809    754
       2719.73   6.806    771
       2713.38   6.790    346
       2712.16   6.787    347
       2679.44   6.705    800
       2674.44   6.692    793
       2671.88   6.686    761
       2666.87   6.674    732
       2620.61   6.558    719
       2619.63   6.555    714
       2612.79   6.538    671
       2611.69   6.535    653
    

in DMSO-d6

  • 图谱

KBr disc

  • 图谱

nujol mull

  • 图谱

×