ChemicalBook
English   Japanese   Germany   Korea
返回ChemicalBook首页>CAS数据库列表>3992-42-5更多图谱> 2'-脱氧胞苷盐酸盐(3992-42-5)核磁图(1HNMR)

3992-42-5

2'-脱氧胞苷盐酸盐(3992-42-5)核磁图(1HNMR)

分子式:C9H14ClN3O4

分子量: 263.68

InChI:InChI=1/C9H13N3O4.ClH/c10-7-1-2-12(9(15)11-7)8-3-5(14)6(4-13)16-8;/h1-2,5-6,8,13-14H,3-4H2,(H2,10,11,15);1H/t5-,6+,8+;/s3

InChIKey: LTKCXZGFJFAPLY-AZXCMKNYNA-N

Smiles:OC[C@H]1O[C@@H](N2C=CC(N)=NC2=O)C[C@@H]1O.[H]Cl |&1:2,4,14,r|

  • 图谱
    Mass

    MS-IW-1353          
    2'-deoxycytidine hydrochloride
    C9H13N3O4 HCl       (Mass of molecular ion:    227)
    

       Source Temperature: 170 °C
       Sample Temperature: 140 °C
       Direct, 75 eV
    

          15.0       2.5
          17.0       3.4
          18.0      15.2
          19.0       1.7
          26.0       1.9
          27.0       6.1
          28.0      11.7
          29.0       7.6
          31.0       4.6
          35.0       1.4
          36.0      10.1
          37.0       1.0
          38.0       4.6
          39.0       8.4
          40.0       9.9
          41.0      19.1
          42.0      16.1
          43.0      12.2
          44.0       9.2
          45.0       5.3
          47.0       1.6
          51.0       1.9
          52.0       3.1
          53.0       5.7
          54.0       1.9
          55.0       5.5
          56.0       3.0
          57.0       5.9
          66.0       3.1
          67.0      11.3
          68.0      13.3
          69.0      21.6
          70.0       6.1
          71.0       3.9
          73.0       6.9
          81.0      13.1
          82.0       3.7
          83.0      14.4
          84.0       1.8
          85.0       1.5
          94.0       1.4
          95.0       6.9
          96.0       1.5
          97.0       9.1
          98.0      11.4
          99.0       4.8
         110.0       2.1
         111.0     100.0
         112.0      22.3
         113.0       1.7
         115.0       1.1
         116.0       1.1
         117.0       7.6
         125.0       3.0
         135.0       1.1
         136.0       1.9
         138.0       3.8
         148.0       2.0
         149.0       1.4
         153.0       4.4
         162.0       2.9
         191.0       1.5
    

400 MHz in DMSO-d6

  • 图谱

    1H NMR 399.65 MHz
    C9 H13 N3 O4 0.048 g : 0.5 ml DMSO-d6
    2'-deoxycytidine hydrochloride
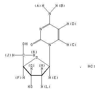
    ChemicalStructure
        Assign.     Shift(ppm)
    A *1 9.92 B *1 8.78 C 8.268 D 6.216 E 6.062 F 4.245 G 3.855 J *2 3.615 K *2 3.572 L *3 2.233 M *3 2.145

         Hz     ppm     Int.
    

       3964.36   9.920    530
       3510.74   8.785    496
       3308.59   8.279    850
       3300.54   8.259    898
       2488.53   6.227    983
       2480.71   6.208   1000
       2429.44   6.079    377
       2423.10   6.064    818
       2416.99   6.048    380
       1703.61   4.263    207
       1699.71   4.253    376
       1697.75   4.249    340
       1696.04   4.244    323
       1694.09   4.239    401
       1690.19   4.230    223
       1546.39   3.870    214
       1542.72   3.861    603
       1539.31   3.852    609
       1535.64   3.843    233
       1455.32   3.642    216
       1451.66   3.633    219
       1443.12   3.611    598
       1439.70   3.603    529
       1433.11   3.586    544
       1429.44   3.577    538
       1420.90   3.556    232
       1417.24   3.547    205
        902.10   2.258    160
        900.15   2.253    172
        896.00   2.242    184
        892.82   2.235    290
        888.67   2.224    295
        886.72   2.219    273
        882.57   2.209    236
        868.16   2.173    241
        862.06   2.158    423
        855.71   2.142    295
        848.63   2.124    232
    

in D2O

in DMSO-d6

  • 图谱

  • 图谱

KBr disc

  • 图谱

nujol mull

  • 图谱

  • 图谱

×